Figure 2
From: Inflammatory cytokines and chemokines in obese adolescents with antibody against to adenovirus 36

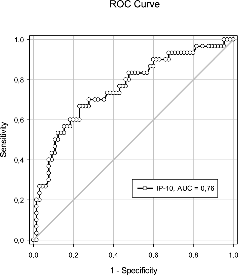
ROC curve of chemokine IP-10. Analysis of IP-10 in serum of adolescents with excess weight. AUC = area under the curve indicating the accuracy of the chemokine as a diagnostic marker of MetS in overweight and obese adolescents. Cut-off = 150.36 pg/mL; specificity = 0.28; sensitivity = 0.70.