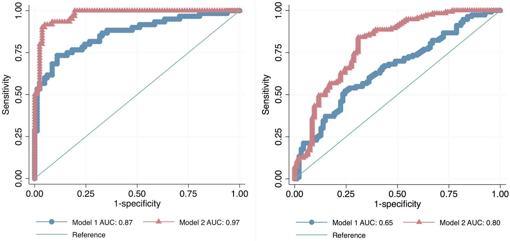
Figure 2

On the left, receiver operating characteristic (ROC) curves comparing the performance of a model without (Model 1) and with proteins (Model 2) in predicting MACE. The true-positive rate (sensitivity) is plotted as a function of the false-positive rate (1—Specificity). p < 0.001. On the right, receiver operating characteristic (ROC) curves comparing the performance of a model without (Model 1) and with proteins (Model 2) in predicting MALE. The true-positive rate (sensitivity) is plotted as a function of the false-positive rate (1—Specificity). p < 0.001.