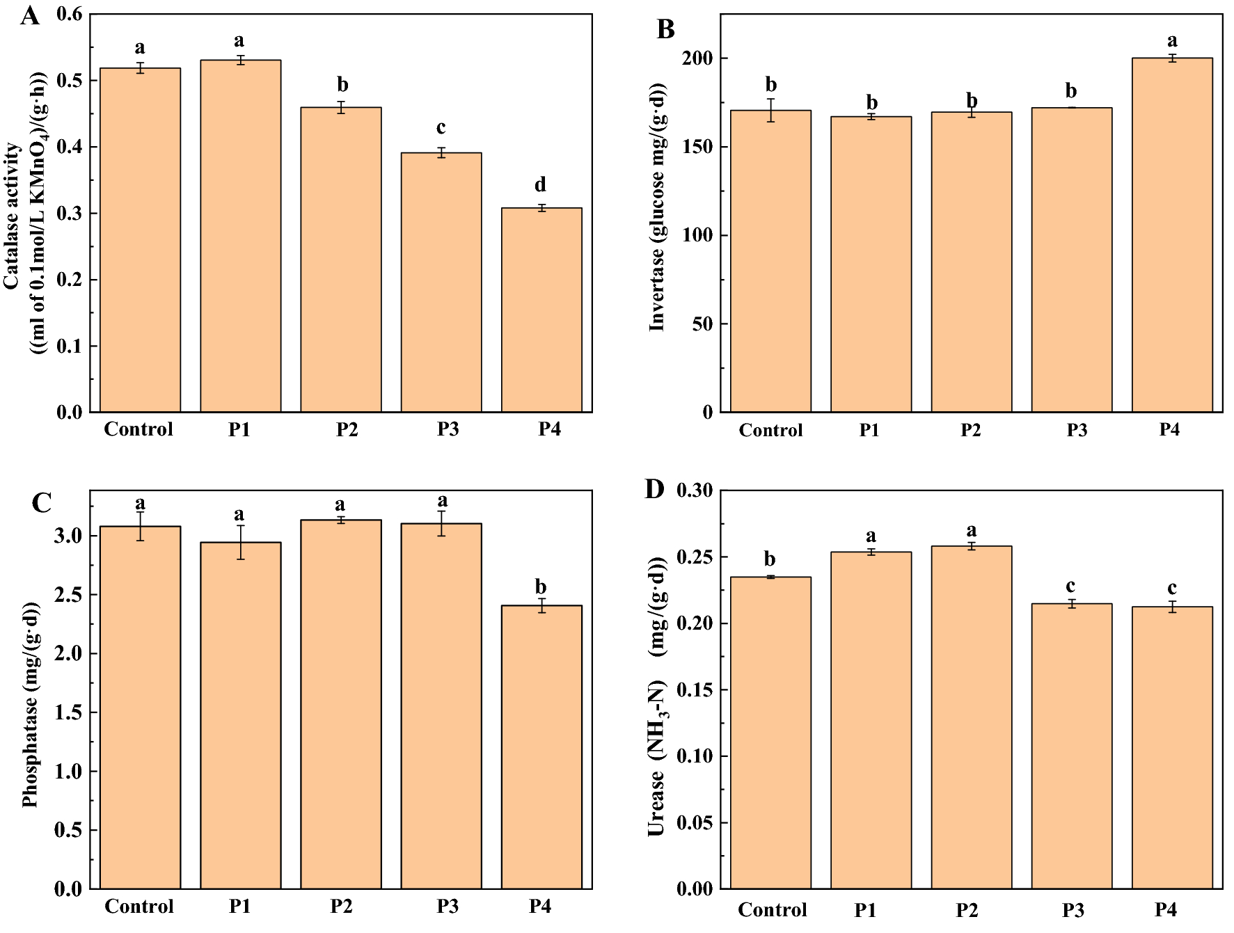
Figure 2
From: Effects of phosphogypsum on enzyme activity and microbial community in acid soil

Effect of PG on soil enzyme activity. Catalase (A), Invertase (B), Phosphatase (C) and Urease (D). Different lowercase letters represent significant differences at the level of P < 0.05.