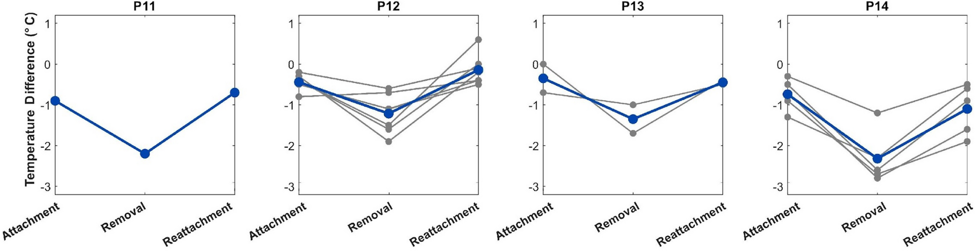
Figure 2

Changes in temperature asymmetry: Neuromusculoskeletal prosthesis-users show a smaller temperature difference between the residual and contralateral limbs when wearing their prostheses. For each participant, the grey lines indicate measurements of all image sets; the blue line indicates the average of all image sets.