Figure 12
From: Income raises human well-being indefinitely, but age consistently slashes it

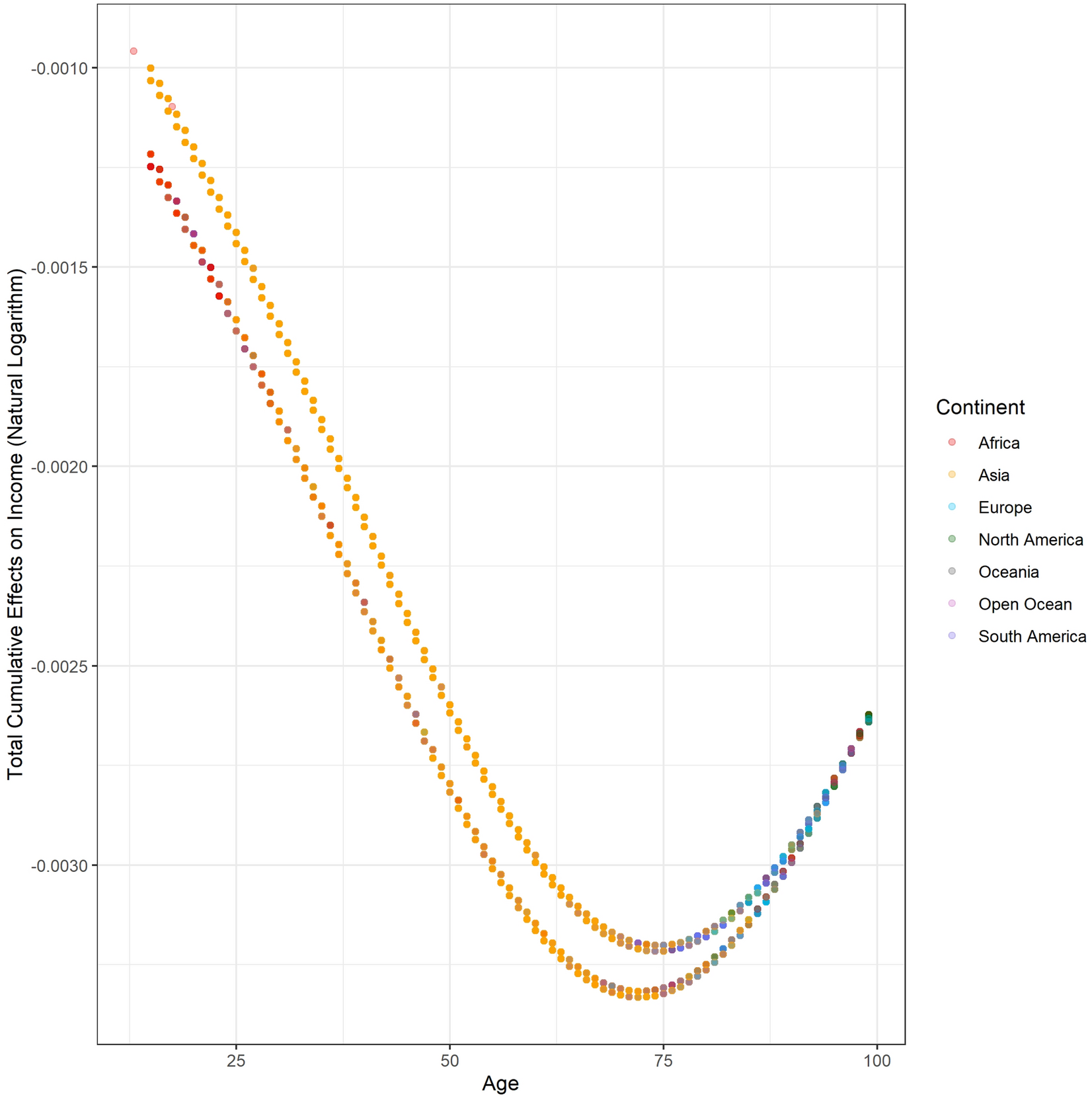
Distribution between the total cumulative effects of age on income and age by continent.
From: Income raises human well-being indefinitely, but age consistently slashes it

Distribution between the total cumulative effects of age on income and age by continent.