Figure 4
From: Retention of visuo-proprioceptive recalibration in estimating hand position

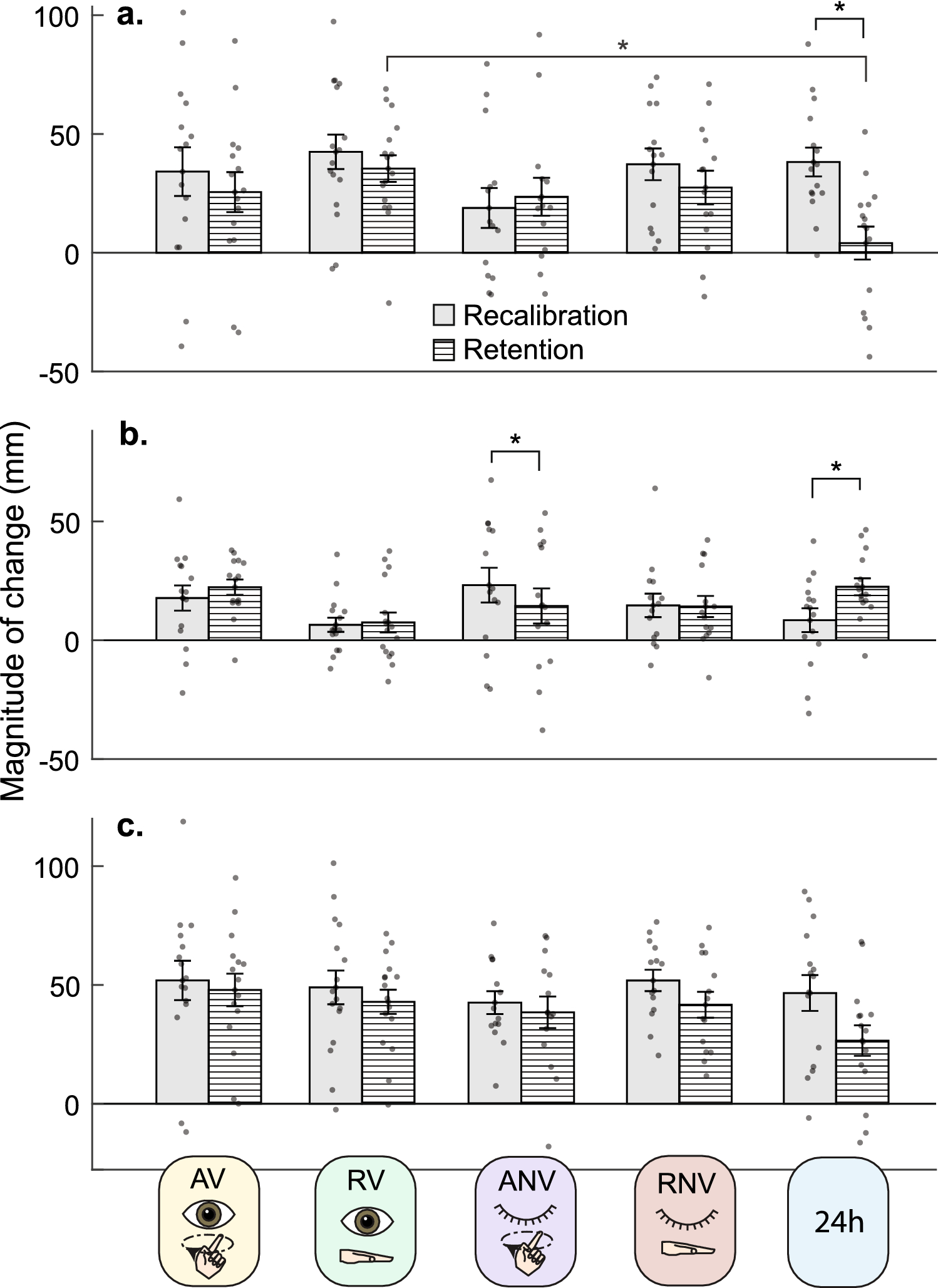
Mean group recalibration and retention with standard errors and individual data points. (A) Vision. There was a significant group x task stage interaction. Recalibration occurred similarly across groups. Retention significantly differed between Rest/Vision (RV) and 24H group. Within groups, Recalibration and Retention differed in the 24 h group (35.6 mm) where retention was significantly less than recalibration. (B) Proprioception. There was a significant group x task stage interaction. Recalibration and Retention occurred similarly across groups. Within groups there was a significant difference in the recalibration and retention block for Active/No Vision and 24H group. (C) Total. There was no significant interaction between the group and task stage. *p < 0.05 for group x task stage ANOVA effects.