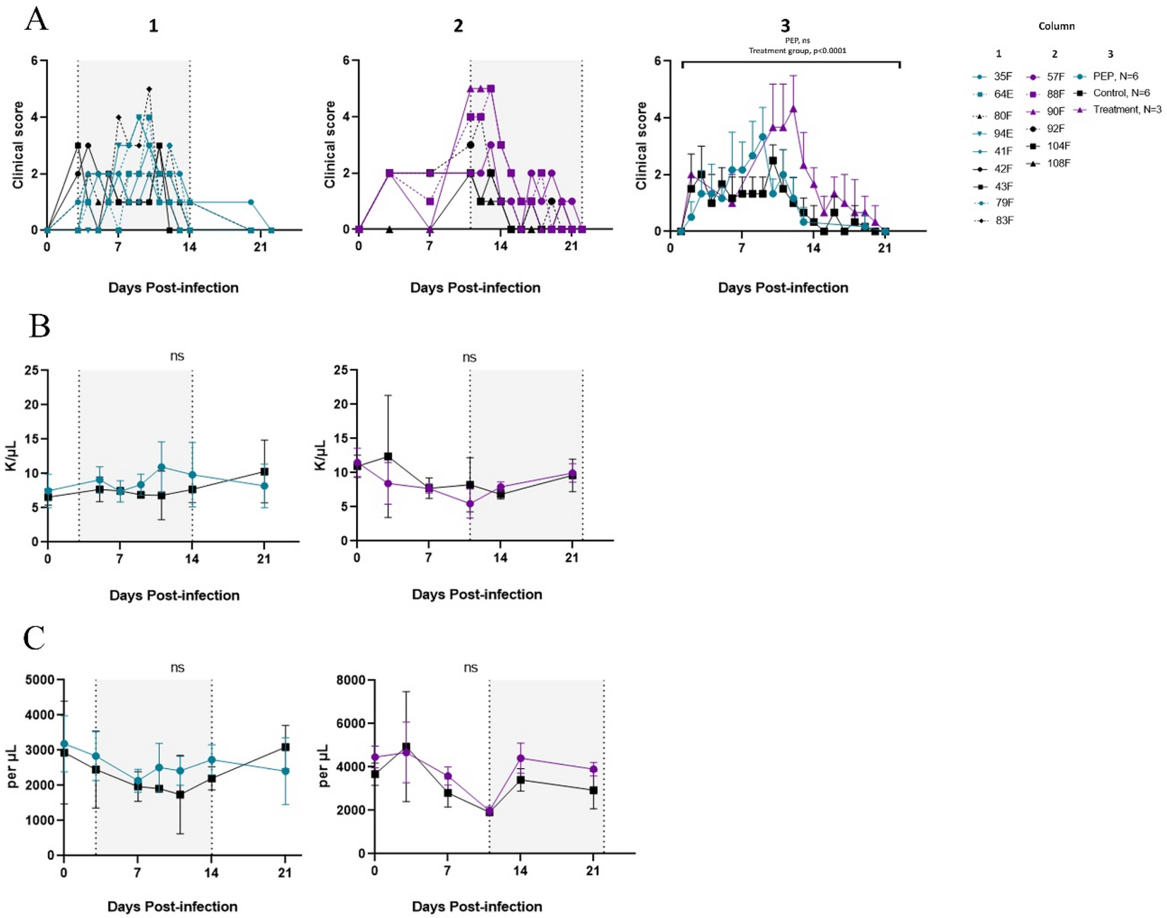
Figure 1

Clinical scores and laboratory results for MeV-infected macaques treated with remdesivir during the acute phase of disease. (A) Clinical scores obtained using a 10-parameter scale by two study veterinarians, blinded to treatment group. Column 1: Individual data from PEP study group and untreated controls; Column 2: Individual data from late treatment study group and untreated controls; Column 3: Averaged data with pooled untreated control group. (B) White blood cell count and (C) Absolute lymphocyte count (ALC) from DPI 0 to DPI 21. Note: number of untreated control monkeys for group-specific data is N = 3 each. Shaded areas indicate treatment periods.