Figure 6
From: Controls on fracture openness and reactivation in Forsmark, Sweden

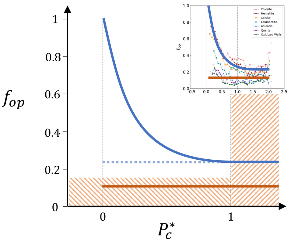
Schematic interpretation of the dependency of mineral fillings on fracture openness representing the openness as a function of the failure overpressure metrics \({P}_{c}^{*}\). The shaded areas (\({P}_{c}^{*}>1\) and \({f}_{op}<0.15\)) indicate fractures that cannot be reactivated (see text). The red and blue solid lines are indicative of the two main trends observed, and the blue dashed line sketches the openness of the blue group’s fractures before reactivation. The box at the top right shows the original data and interpretations.