Figure 4
From: Advanced nano-texture, optical bandgap, and Urbach energy analysis of NiO/Si heterojunctions

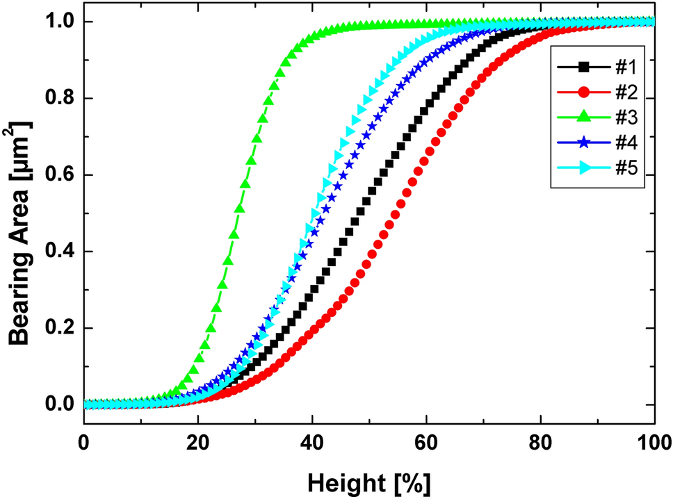
Abbott–Firestone curves of the samples.
From: Advanced nano-texture, optical bandgap, and Urbach energy analysis of NiO/Si heterojunctions

Abbott–Firestone curves of the samples.