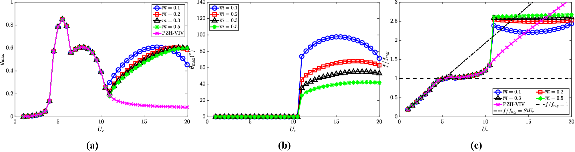
Figure 7

Response characteristics of the system for various \({\overline{m}}\) with \(U_r\): (a) maximum non-dimensional oscillation amplitude (\(y_{{\textrm{max}}}\)) of the cylinder, (b) maximum angular rotation of the pendulum \(\theta _{{\textrm{max}}}\) in degrees \((^{\circ })\) and (c) dominant frequency with respect to cylinder natural frequency \(f/f_{n,y}\). Here, \(\omega _r = 1.3\), \(l_d = 0.1\) and \(\zeta _\theta = 0.0011\).