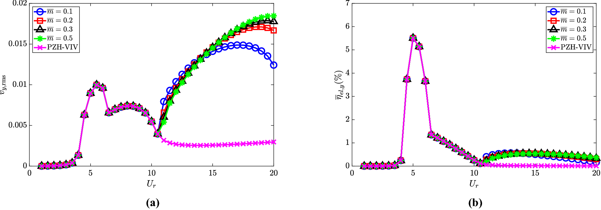
Figure 8

Effect of \({\overline{m}}\) in the introduction of NRGP with \(U_r\) on: (a) electric tension \(v_{y,{{\textrm{rms}}}}\), and (b) energy harvesting efficiency \({\overline{\eta }}_{el,y}\). Here, \(\omega _r = 1.3\), \(l_d = 0.1\) and \(\zeta _\theta = 0.0011\).