Figure 2
From: A nursing care-sensitive patient satisfaction measure in older patients

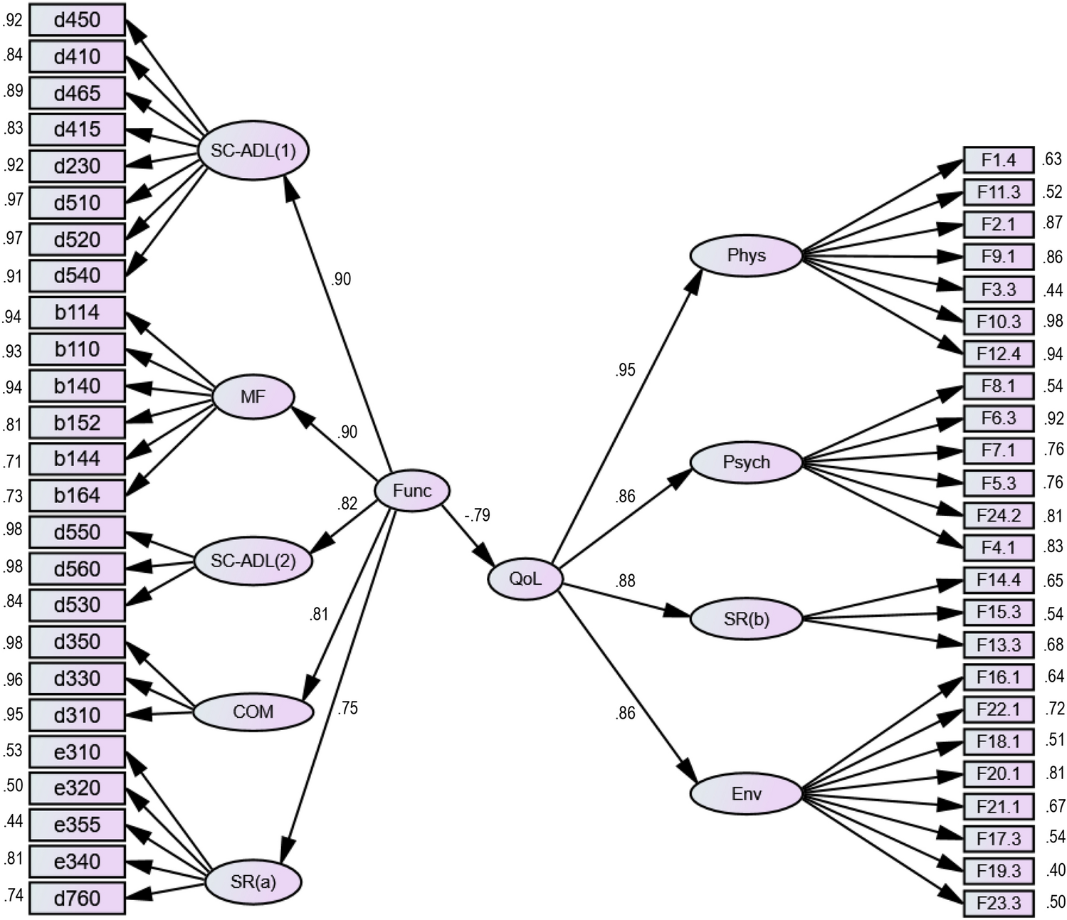
Final CFAFunc-QoL model that studies whether the Func latent factor manifests itself in the QoL latent factor.
From: A nursing care-sensitive patient satisfaction measure in older patients

Final CFAFunc-QoL model that studies whether the Func latent factor manifests itself in the QoL latent factor.