Figure 3
From: A nursing care-sensitive patient satisfaction measure in older patients

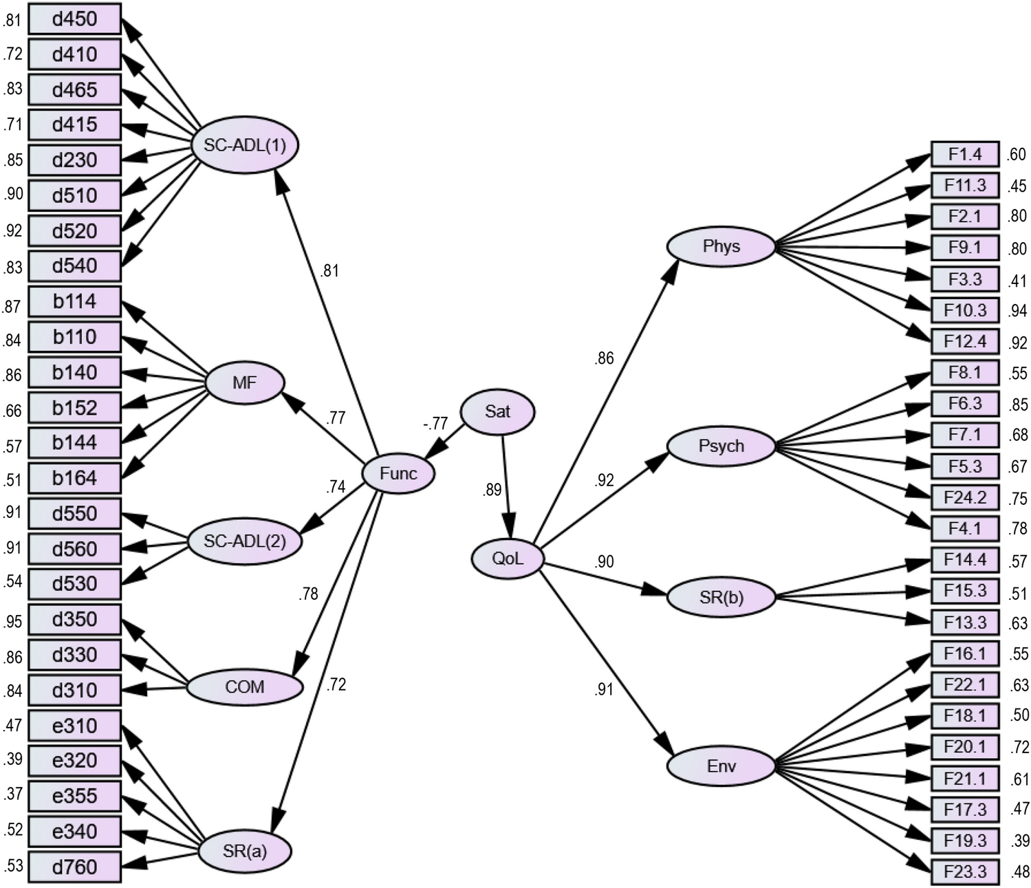
Final CFAFunc-Qol-Sat model that studies whether the Sat latent factor manifests itself in the Func latent factor and in the QoL latent factor.
From: A nursing care-sensitive patient satisfaction measure in older patients

Final CFAFunc-Qol-Sat model that studies whether the Sat latent factor manifests itself in the Func latent factor and in the QoL latent factor.