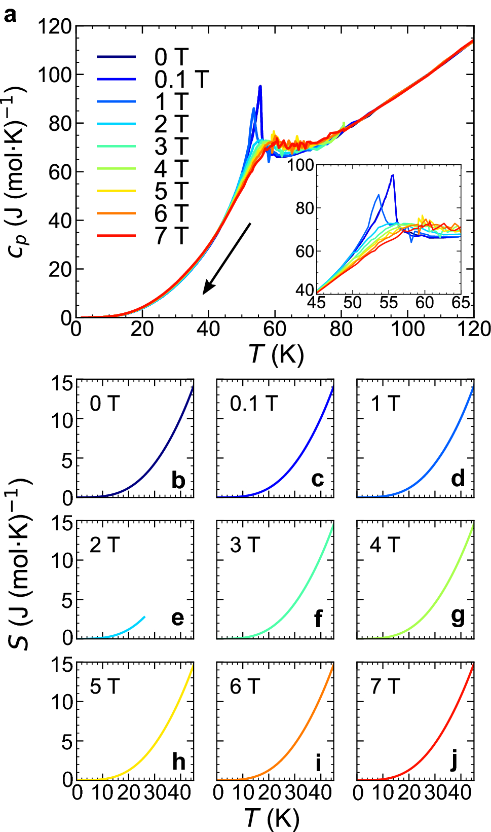
Figure 3

Temperature dependences of the specific heats and entropies under magnetic fields. (a) Temperature dependencies of the specific heats under various magnetic fields. The specific heat measurement was performed during the field-cooling process. Inset: Enlarged view around the transitions. The \(c_{p}(T)\) at 0 and 0.1 T are almost identical and no difference is distinguishable on this scale. (b–j) The temperature dependencies of the entropies under various magnetic fields.