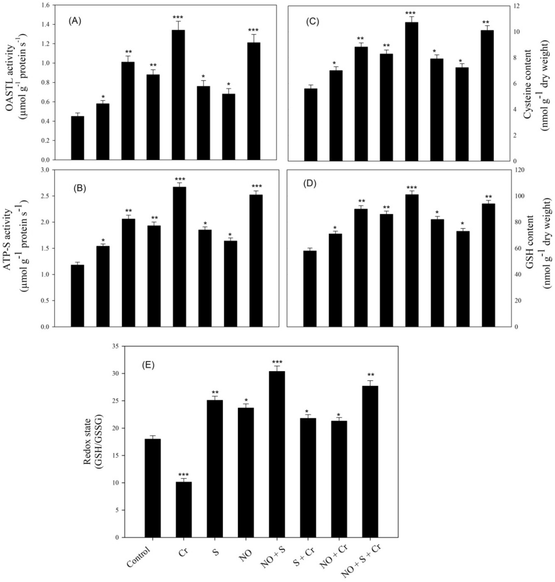
Figure 1

The activity of OASTL (A), ATP-S (B), the content of Cys (C), GSH (D), and redox state (E) in wheat (Triticum aestivum L.) leaves at 30 DAS. Plants were supplemented with 50 µM NO and/or treated with S (1.0 mM SO42−) in the presence and absence of 100 µM Cr. The data is displayed as mean ± SE (n = 4). As established by Tukey’s posthoc multiple comparison test, values that differ significantly between the control and treatments are denoted with an asterisk (*p < 0.05, **p < 0.01, ***p < 0.001). ATP-S ATP-sulfurylase, Cys cysteine, Cr chromium, DAS d after sowing, GSH glutathione, NO nitric oxide, OASTL O-acetylserine (thiol) lyase, S sulfur.