Figure 5
From: A Fano-resonance plasmonic assembly for broadband-enhanced coherent anti-Stokes Raman scattering

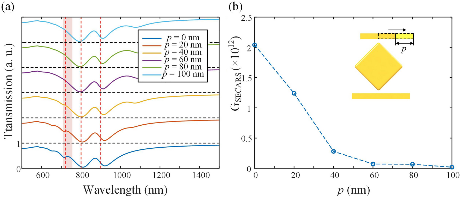
The transmission spectra (a) and \(G_{{{\text{SECARS}}}}\) (b) of the structure of L1 = 300 nm and L2 = 180 nm with different L2 positions. In (a), the red region is the position of one of the Fano peaks from the coupling between L2 and the middle part. The red dashed lines are corresponding to 720 nm, 800 nm and 900 nm.