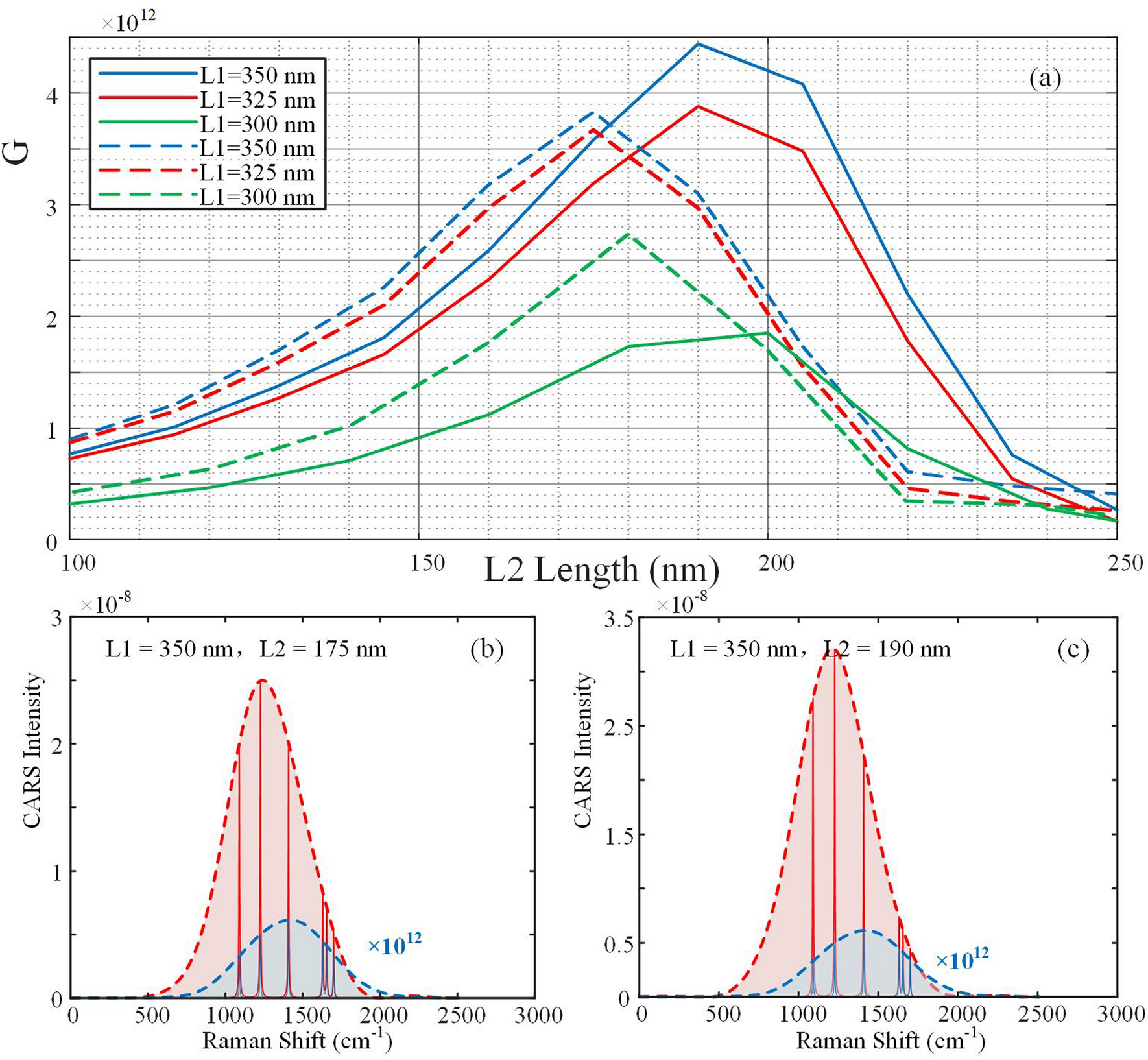
Figure 8
From: A Fano-resonance plasmonic assembly for broadband-enhanced coherent anti-Stokes Raman scattering

(a) The \(G_{{{\text{broadband}}}}\)(solid) and single-frequency \(G_{{{\text{SECARS}}}}\)(dotted line) under different L1 and L2 lengths. (b–c) The simulation CARS spectra with L1 = 350 nm and L2 = 175 nm (b) and L1 = 350 nm and L2 = 190 nm (c). The light red and light blue regions correspond to the enhanced and unenhanced CARS spectra, respectively, where the intensity of the unenhanced CARS spectrum is amplified by 12 orders of magnitude. Some characteristic Raman peaks are also presented.