Figure 1

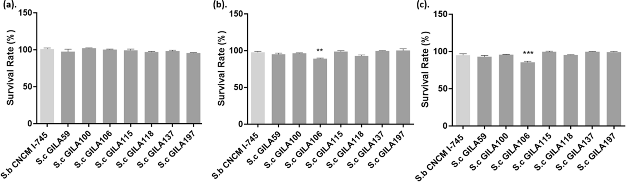
The survival rate of S.cerevisiae strain at (a) mouth, (b) stomach and (c) intestine in the GIT model. Values are mean ± S.D of triplicates for each group. **p < 0.01, ***p < 0.001, compared with S. boulardii CNCM I-745.

The survival rate of S.cerevisiae strain at (a) mouth, (b) stomach and (c) intestine in the GIT model. Values are mean ± S.D of triplicates for each group. **p < 0.01, ***p < 0.001, compared with S. boulardii CNCM I-745.