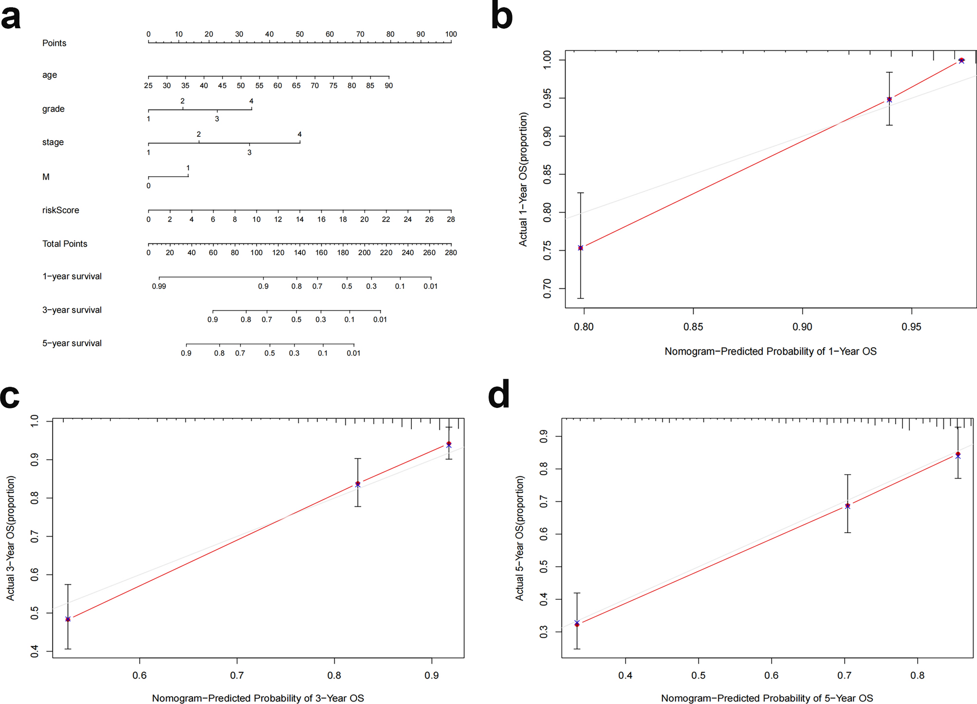
Figure 7

Creation and validation of a nomogram. (a) Clinicopathological factors and risk scores combined with a nomogram to predict survival in ccRCC patients at 1, 3, and 5 years. (b–d) Calibration curves to assess whether expected survival at 1, 3, and 5 years agrees with actual OS rates. M, metastasis; OS, overall survival; ccRCC, clear cell renal cell carcinoma.