Figure 16

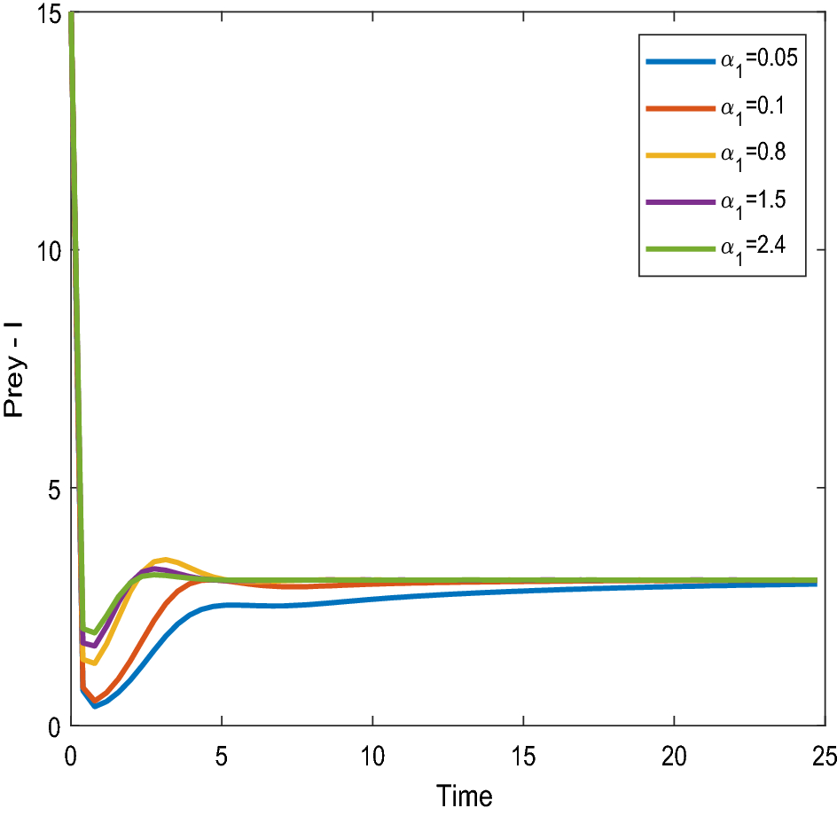
Time series evaluation of population (prey–1) for various values of (\(\alpha_{1}\)) \(\alpha_{1} = \,\,0.05\,\,;\,\alpha_{1} = \,\,0.1\,\,;\,\alpha_{1} = \,\,0.8\,\,;\,\alpha_{1} = \,\,1.5\,;\,\alpha_{1} = \,\,2.4\,\).

Time series evaluation of population (prey–1) for various values of (\(\alpha_{1}\)) \(\alpha_{1} = \,\,0.05\,\,;\,\alpha_{1} = \,\,0.1\,\,;\,\alpha_{1} = \,\,0.8\,\,;\,\alpha_{1} = \,\,1.5\,;\,\alpha_{1} = \,\,2.4\,\).