Figure 5

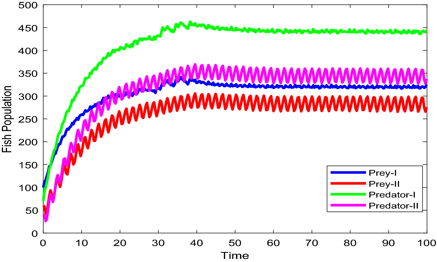
Time series evaluation of populations for the values of noise intensities of 80, 70, 80 and 70 for all 4 category fish population respectively.

Time series evaluation of populations for the values of noise intensities of 80, 70, 80 and 70 for all 4 category fish population respectively.