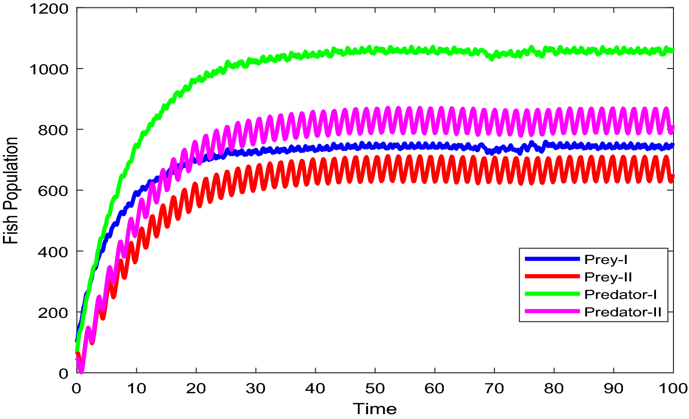
Figure 6

Time series evaluation of populations for the values of noise intensities of 200, 150, 200 and 150 for all 4 category fish population respectively.

Time series evaluation of populations for the values of noise intensities of 200, 150, 200 and 150 for all 4 category fish population respectively.