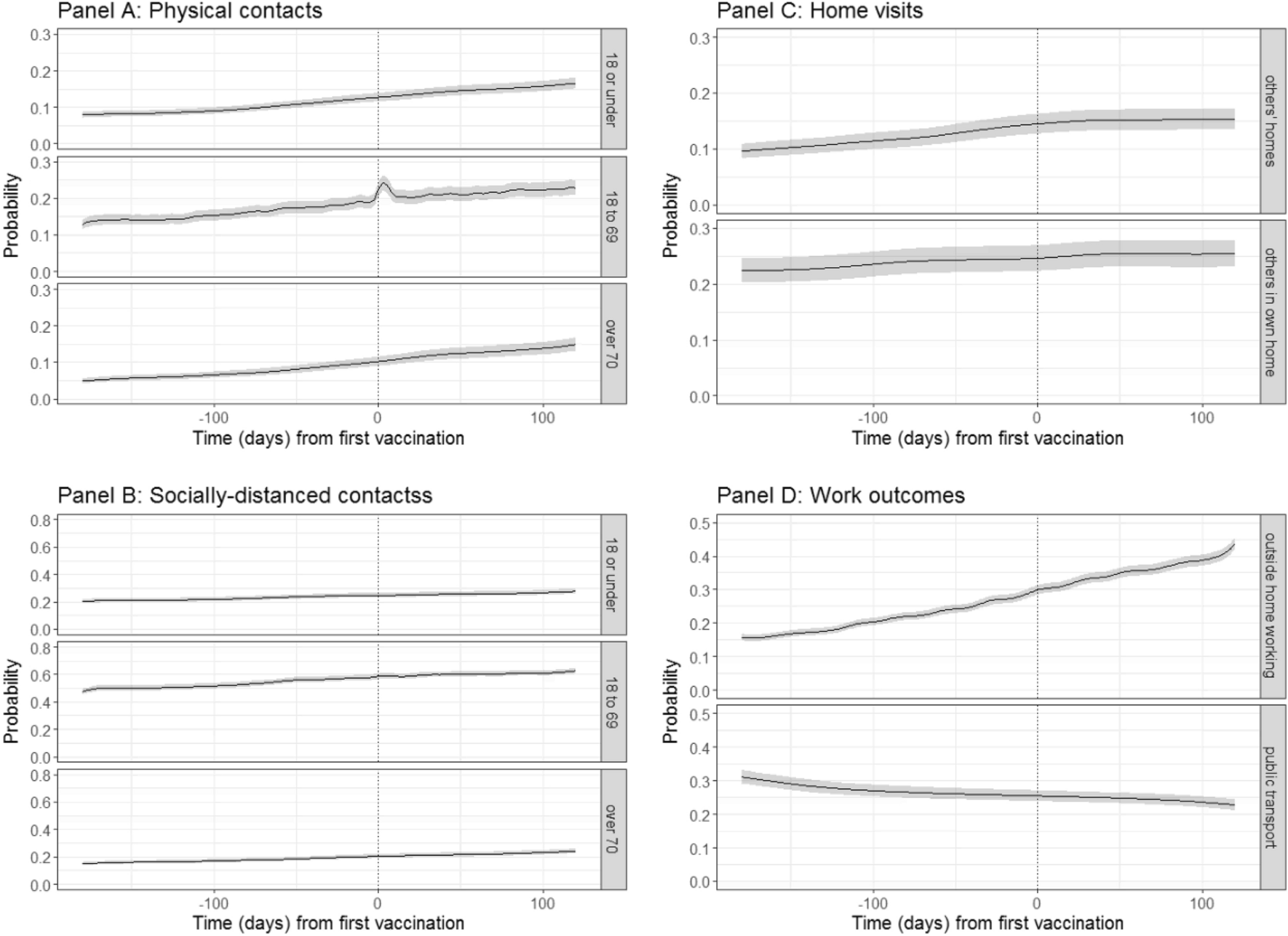
Figure 1
From: COVID-19 vaccination, risk-compensatory behaviours, and contacts in the UK

Probabilities of behavioural outcomes for individuals aged 18–64y by time from first vaccination, first dose. Top left (A): past 7-day reported physical, outside of household contacts; bottom left (B) past 7-day reported socially-distanced, outside of household contacts; top right (C) past 7-day reported home visits; bottom right (Panel D): past 7-day reported work outcomes for those that are working or in education. Dotted line shows day of own first vaccination. “18 or under”, “18 to 69” and “over 70” denote the ages of the people with whom individuals in the sample had contact.