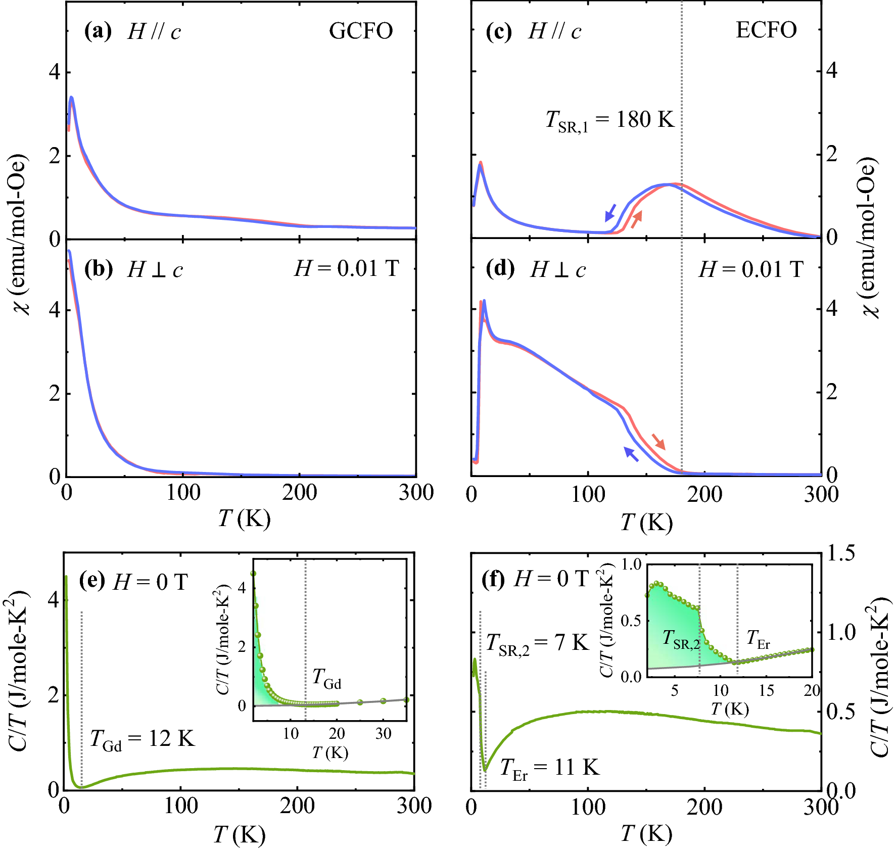
Figure 2

Magnetic susceptibility and heat capacity. (a, b) Temperature (T) dependence of magnetic susceptibility χ = M/H of single crystalline GCFO at H = 0.01 T measured on heating from 2 to 300 K after zero-field cooling (ZFC) and upon cooling at the same field (FC) parallel (H//c) and perpendicular (H \(\perp\) c) to the c-axis. (c, d) T dependence of magnetic susceptibility χ = M/H of single crystalline ECFO at H = 0.01 T measured on heating from 2 to 300 K after ZFC and FC for H//c and H \(\perp\) c. (e) Heat capacity divided by temperature (C/T) measured at H = 0 T and T = 2–300 K for GCFO. Inset shows C/T in the T = 2–35 K region. The gray curve was obtained by fitting, considering the influence of Cr3+/Fe3+ moments on C/T at a low-T regime. The vertical dashed line denotes the ordering T of Gd3+ moments as TGd = 12 K. The colored area indicates the contribution of Gd3+ ions to the magnetic entropy. (f) C/T measured at H = 0 T and T = 2–300 K for ECFO. Inset shows C/T in the T = 2–20 K region. The gray curve was obtained by fitting, considering the influence of Cr3+/Fe3+ moments on C/T at a low-T regime. The vertical dashed lines designate the ordering T of Er3+ moments as TEr = 11 K and the 2nd spin-reorientation transition of Cr3+/Fe3+ moments, TSR,2 = 7 K. The colored area indicates the contribution of Er3+ ions to the magnetic entropy.