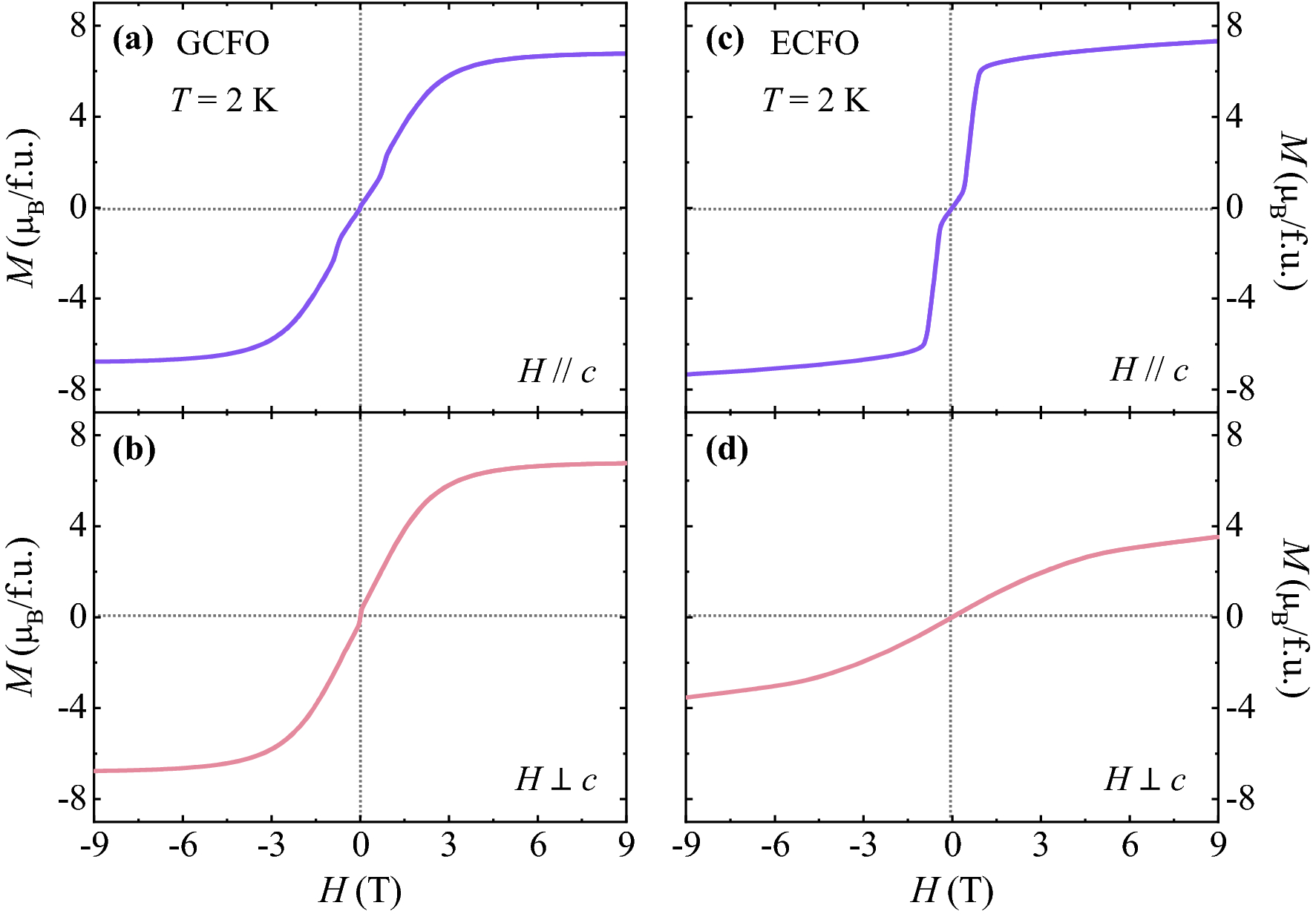
Figure 4

Isothermal magnetization. (a, b) Full magnetic hysteresis curve of the isothermal magnetization measured at 2 K up to H = ± 9 T at H//c and H \(\perp\) c, respectively, for GCFO. (c, d) Full magnetic hysteresis curve of the isothermal magnetization measured at 2 K up to H = ± 9 T at H//c and H \(\perp\) c, respectively, for GCFO.