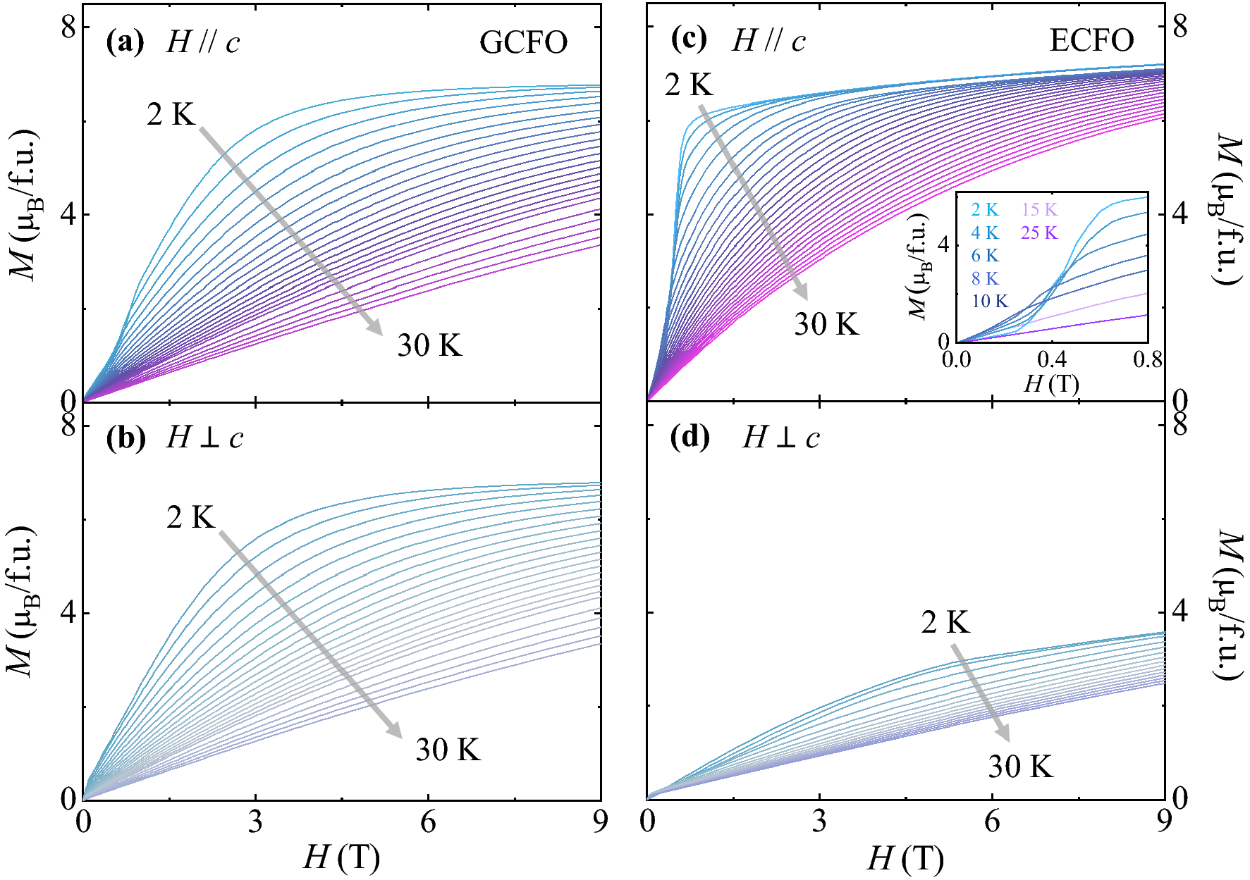
Figure 5

Initial curves of isothermal magnetization. (a, b) Initial curves of the isothermal magnetization for H//c and H \(\perp\) c, respectively, at temperatures varying from 2 to 30 K for GCFO. (c, d) Initial curves of the isothermal magnetization for H//c and H \(\perp\) c, respectively, at temperatures varying from 2 to 30 K for ECFO. Inset of c shows the initial curves of magnetization in the low-H region for T = 2, 4, 6, 8, 10, 15, and 25 K.