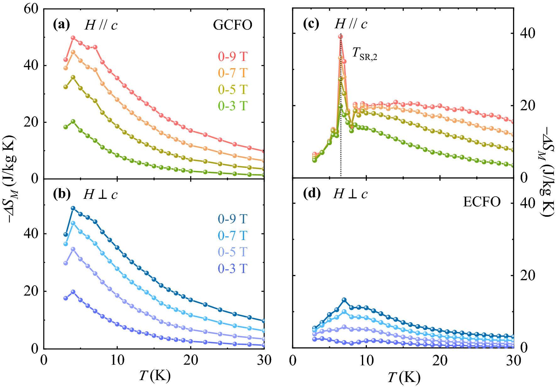
Figure 6

Anisotropic magnetocaloric effect in GCFO and ECFO crystals. (a, b) Anisotropic magnetocaloric effect in GCFO. T dependence of magnetic entropy change \(-\Delta {S}_{M}\) for H//c and H \(\perp\) c with H regimes of \(\Delta H=\) 0–3, 0–5, 0–7, and 0–9 T, obtained by integrating the T gradient of the initial magnetization curves in Fig. 4a and b, respectively. (c, d) Anisotropic magnetocaloric effect in ECFO. T dependence of magnetic entropy change \(-\Delta {S}_{M}\) for H//c and H \(\perp\) c with H regimes of \(\Delta H=\) 0–3, 0–5, 0–7, and 0–9 T, obtained by integrating the T gradient of the initial magnetization curves in Fig. 4c and d, respectively.