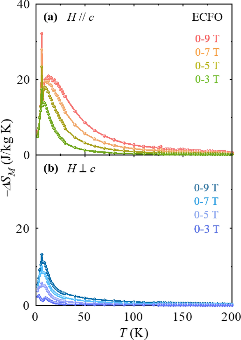
Figure 7

Anisotropic magnetic entropy change in ECFO. (a) T dependence of magnetic entropy change \(-\Delta {S}_{M}\) for H//c with magnetic field regimes of \(\Delta H=\) 0–3, 0–5, 0–7, and 0–9 T, respectively, obtained by integrating the T gradient of the initial magnetization curves in ECFO in the range T = 2–200 K. (b) T dependence of magnetic entropy change \(-\Delta {S}_{M}\) for H \(\perp\) c with magnetic field regimes of \(\Delta H=\) 0–3, 0–5, 0–7, and 0–9 T, respectively, obtained by integrating the T gradient of the initial magnetization curves in ECFO in the range T = 2–200 K.