Figure 2

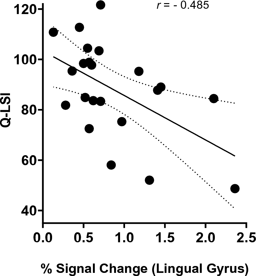
Bivariate scatterplot of % signal change of the lingual gyrus and Q-LSI (quadriceps limb symmetry index) values for the ACL-R cohort.

Bivariate scatterplot of % signal change of the lingual gyrus and Q-LSI (quadriceps limb symmetry index) values for the ACL-R cohort.