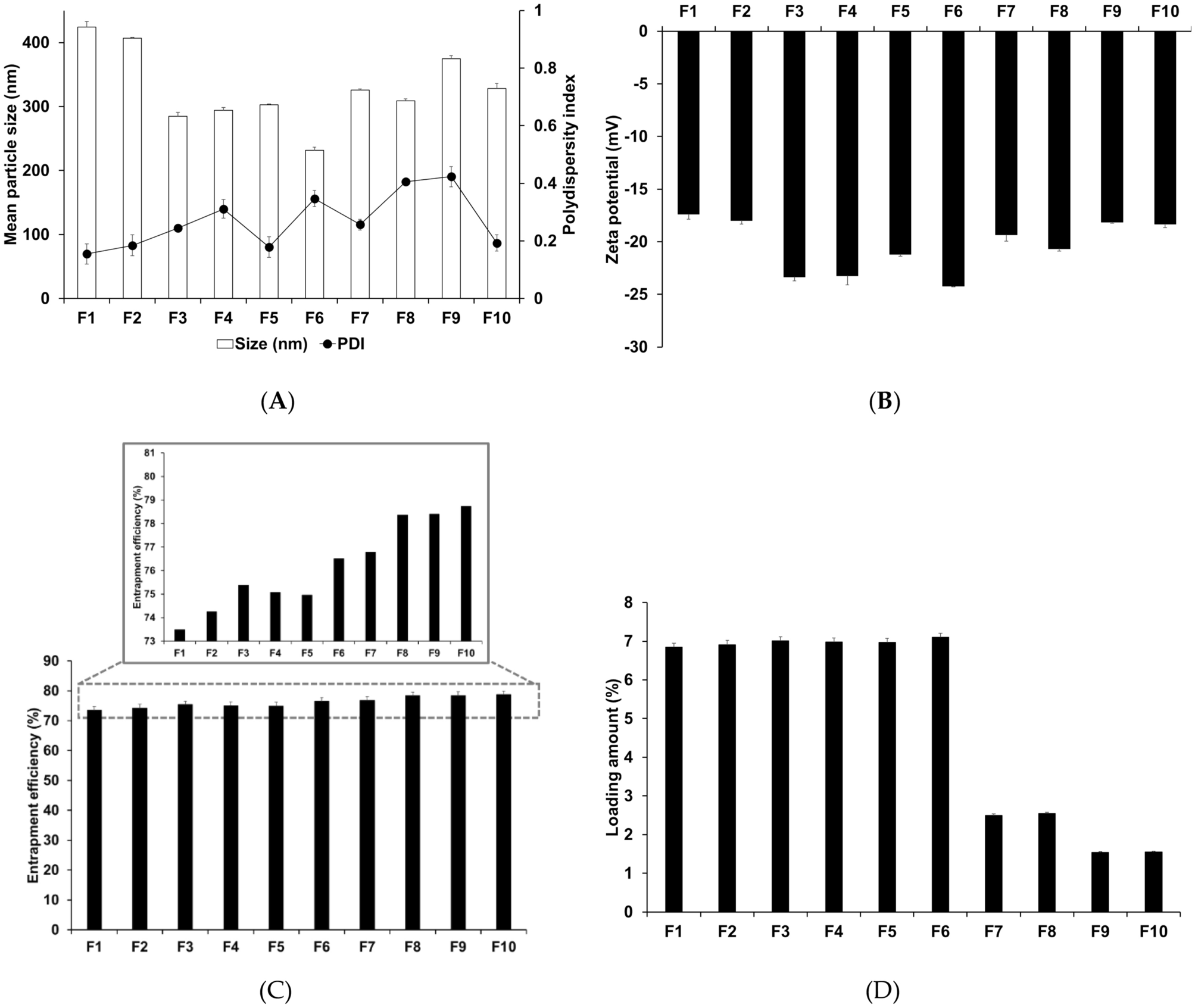
Figure 3

Particle characteristics. (A) Average particle size and PDI, (B) zeta potential, (C) Entrapment efficiency, and (D) loading amount of MPPa-loaded SLNs prepared using different materials. Results are expressed as the means ± standard deviations of three independent experiments (n = 3). PDI, polydispersity index.