Figure 4

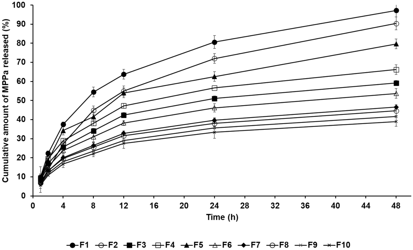
Cumulative percentage release profiles of MPPa from SLNs in the release medium, as determined using the dialysis bag method. Results are expressed as the means ± standard errors of three independent experiments (n = 3).

Cumulative percentage release profiles of MPPa from SLNs in the release medium, as determined using the dialysis bag method. Results are expressed as the means ± standard errors of three independent experiments (n = 3).