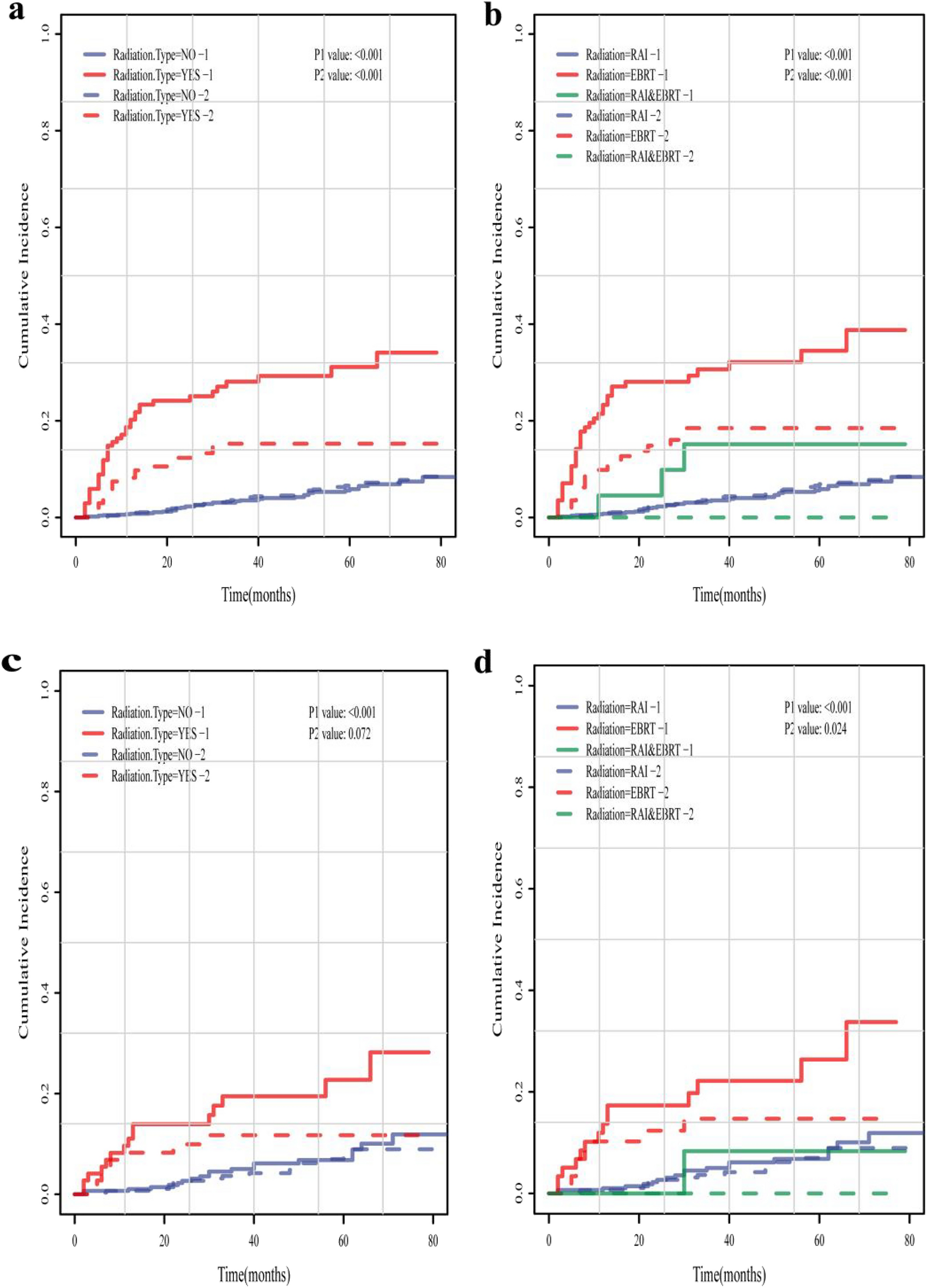
Figure 2

(a) Before propensity score-matched: cumulative incidence of the dichotomy variables. (b) Before propensity score-matched: cumulative incidence of the trichotomy variables. (c) After propensity score-matched: cumulative incidence of the dichotomy variables. (d) After propensity score-matched: cumulative incidence of the trichotomy variables [P1 is the P value of outcome = 1 (death of thyroid cancer); P2 is the P value of outcome = 2 (death not caused by thyroid cancer, competition event)].