Figure 6
From: A machine learning method for the identification and characterization of novel COVID-19 drug targets

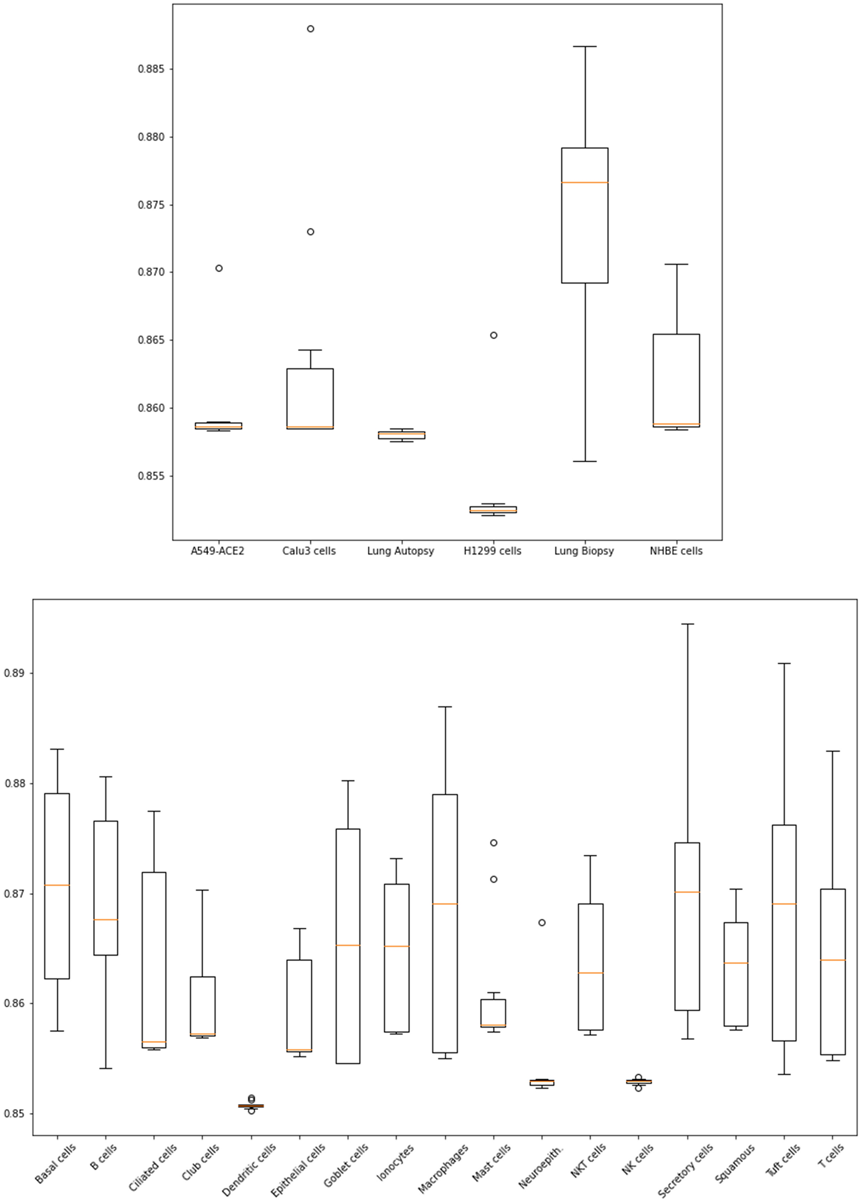
Ranking performance of GuiltyTargets measured by the AUC within a 10 times repeated, stratified 5-fold cross-validation. The boxplots show the distribution of the AUC over the 10 cross-validation repetitions. Top: performances on bulk RNA-Seq. Bottom: performances on single cell RNA-Seq.