Figure 4

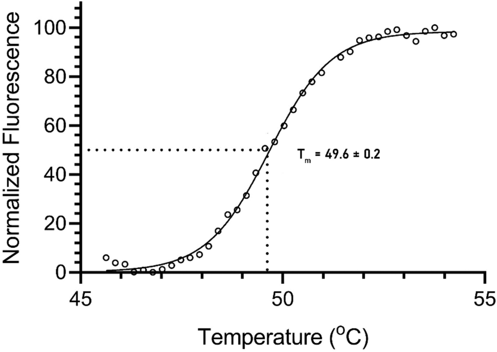
Denaturation curve of purified EfAmi1 using DSF for the determination of its melting temperature at 50 mM HEPES/NaOH buffer, pH 8.

Denaturation curve of purified EfAmi1 using DSF for the determination of its melting temperature at 50 mM HEPES/NaOH buffer, pH 8.