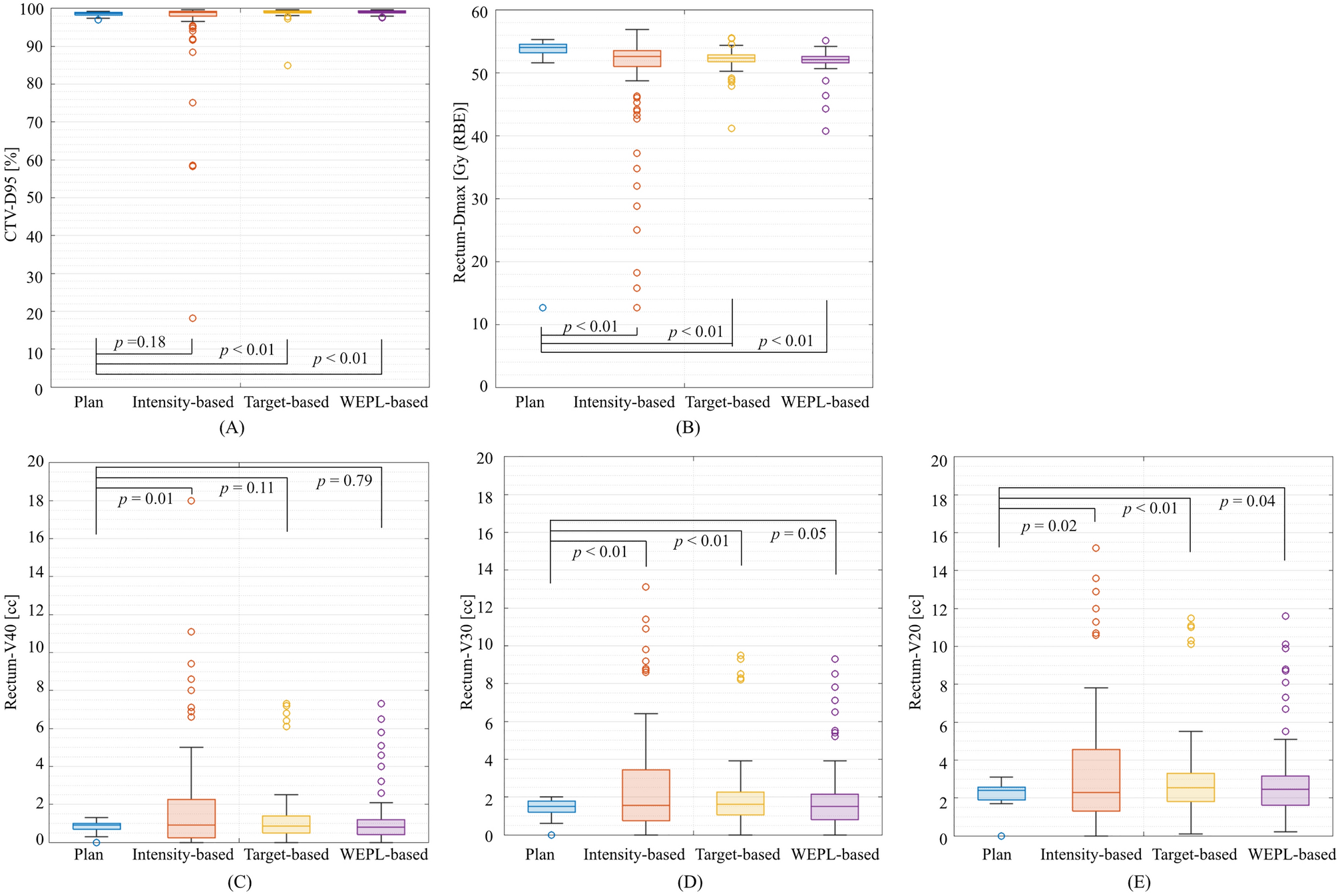
Figure 7
From: Optimizing 3DCT image registration for interfractional changes in carbon-ion prostate radiotherapy

Boxplot of the dose metrics on the planning CT, the treatment CTs with the intensity-based image registration, target-based image registration, and WEPL-based image registration for respective fractions. (A) CTV-D95. (B) Rectum-Dmax. (C) Rectum-V40. (D) Rectum-V30. (E) Rectum-V20. The central horizontal line in the box indicates the median, and the bottom and top edges of the box indicate the 25th percentile (q1) and 75th percentile (q3), respectively. The whiskers extend to the most extreme data points not considered outliers. An outlier (marked as a circle) is identified if it is > q3 + (q3 − q1) × 1.5 or < q1 − (q3 − q1) × 1.5. This image is created by MATLAB R2021a, (Mathworks, Natick MA, USA, https://www.mathworks.com).