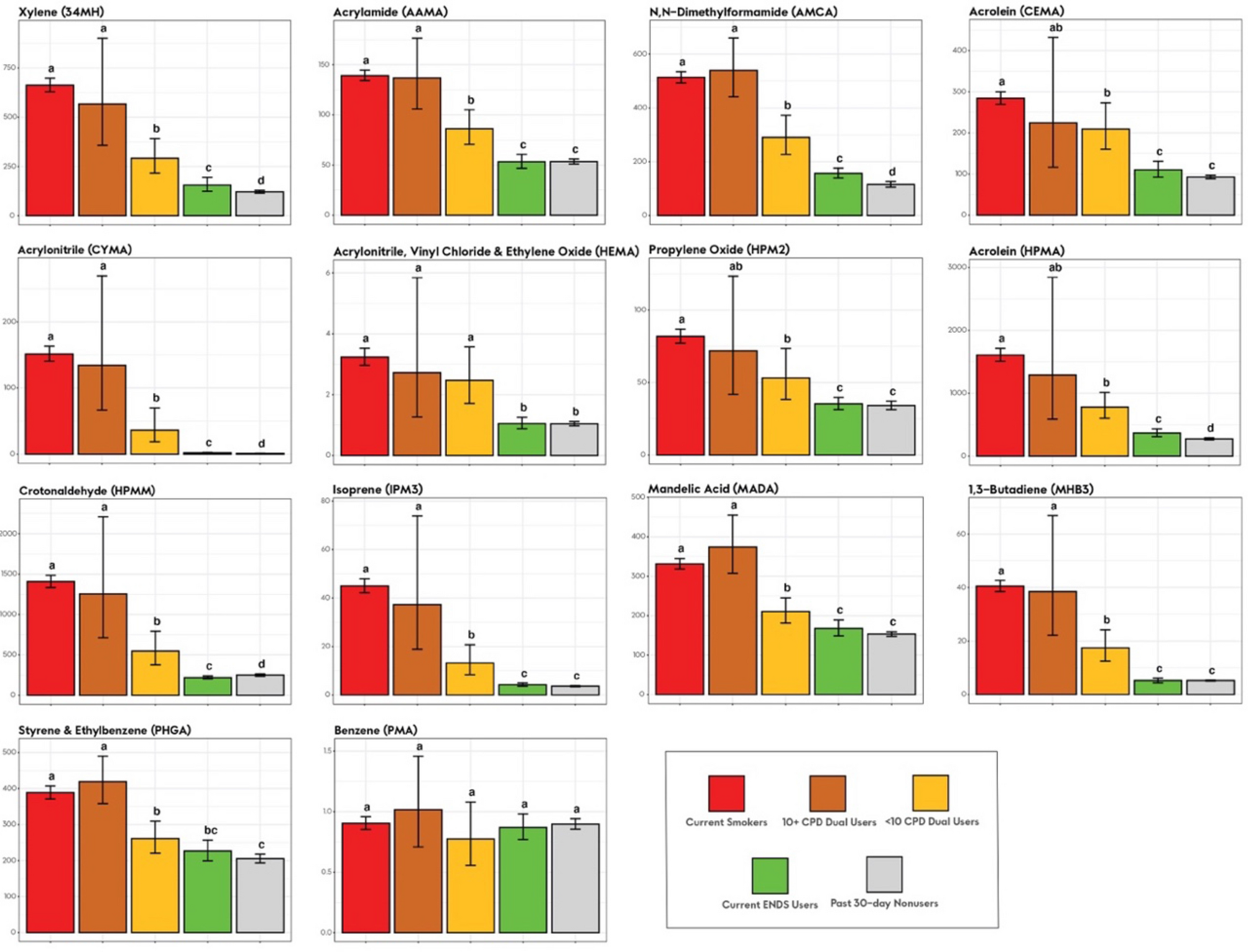
Figure 3

BOEs of VOCs among smokers, ENDS users, dual users stratified by CPD and past 30-day nonusers (weighted adjusted geometric mean and 95% confidence interval). Note. All values represent μg/g creatinine. Groups whose bars do not share a letter above the bar are significantly different (p < 0.05). Groups whose bars share a letter do not significantly differ from each other (p ≥ 0.05). Geometric mean ratios, and more exact p-values are shown in Table S6 in the Supplemental Materials. Adjusted geometric means and confidence interval endpoints were derived from a weighted regression analysis with covariates for age, sex, race/ethnicity, and BMI and were computed by exponentiating predicted population margins with covariate values fixed at the observed means. The analysis was weighted to represent the US adult civilian, noninstitutionalized population of never, current, and recent (within 1-year) former tobacco users. Current Smokers, N = 1341; 10 + CPD Dual Users, N = 61; < 10 CPD Dual Users, N = 54; ENDS Users, N = 151; Past 30-day Nonusers, N = 1846.