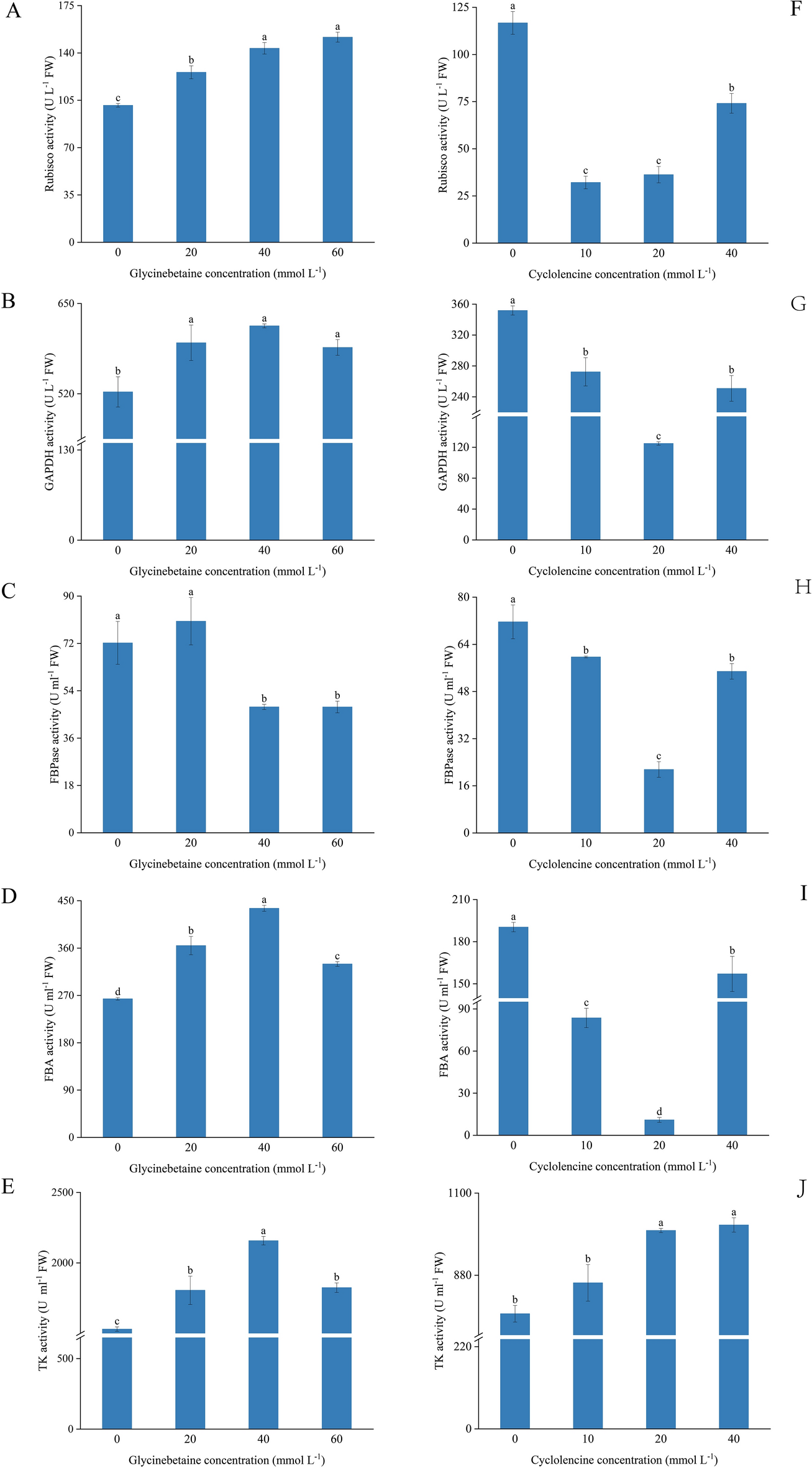
Figure 4

Effect of exogenous glycine betaine and cycloleucine on Calvin cycle enzyme activity in eggplant leaves. The different letters denote the significant difference among treatments (p < 0.05), according to Duncan’s multiple tests. 0 mmol L−1: control.