Figure 7
From: Electric fields in a counterflow nonpremixed flame: measurement and simulation

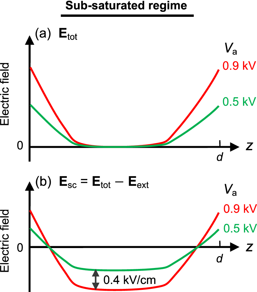
Schematic of the electric field for the sub-saturated regime: (a) total electric field, Etot, and (b) electric field due to space charges, Esc.
From: Electric fields in a counterflow nonpremixed flame: measurement and simulation

Schematic of the electric field for the sub-saturated regime: (a) total electric field, Etot, and (b) electric field due to space charges, Esc.