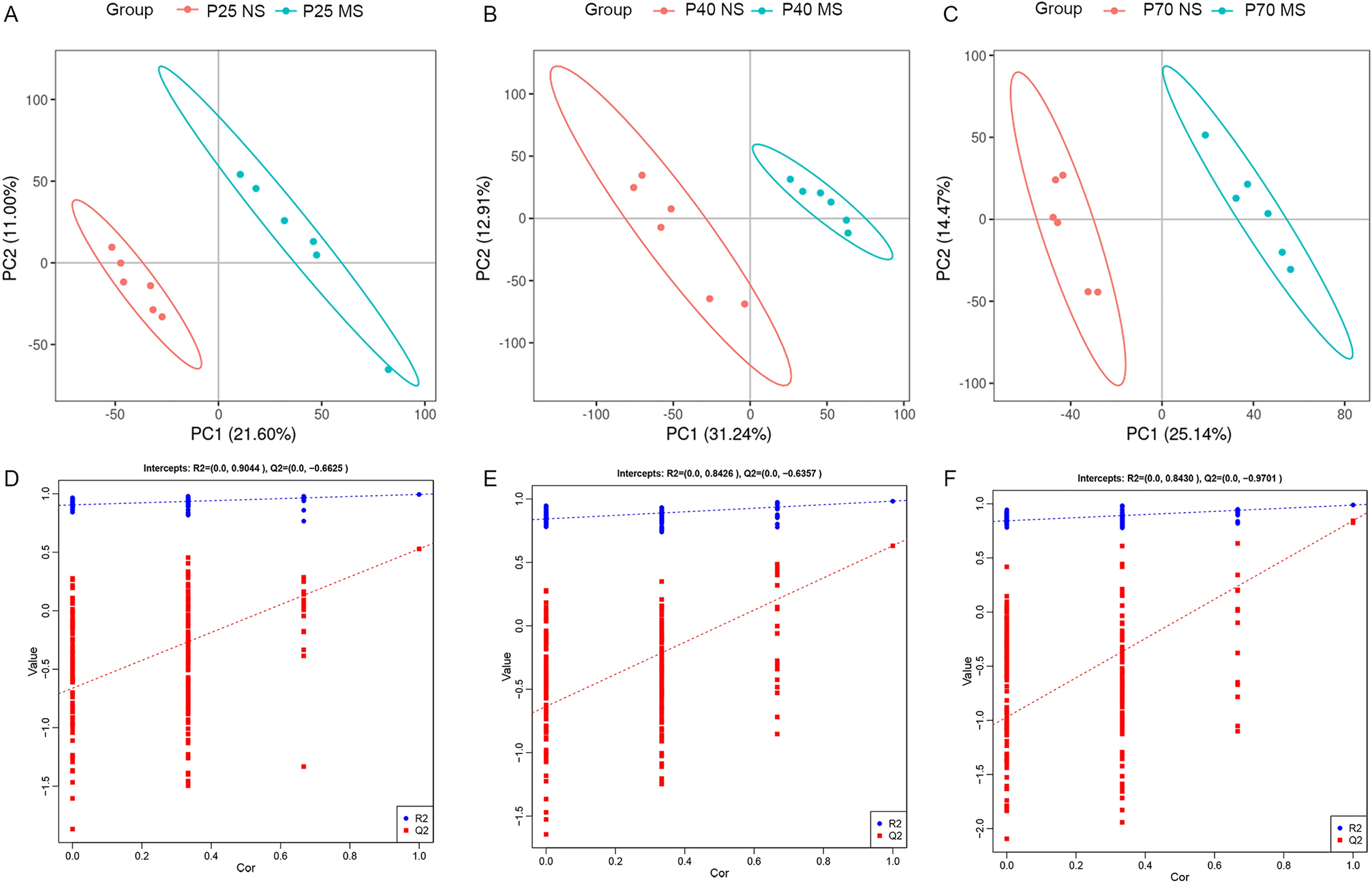
Figure 3

PLS-DA analysis model scores and test charts of MS and NS group in three age groups. (A)–(C) respectively showed the scores of PLS-DA analysis models of the two groups on P25, P40, and P70 days. (D)–(F) respectively represented the PLS-DA analysis model response ranking test diagrams on P25, P40, and P70. The two points on the right were the simulated real R2 and Q2 values, respectively, and the other points were the R2 and Q2 values obtained after random arrangement of the samples used. MS, maternal separation; NS, non-separation.