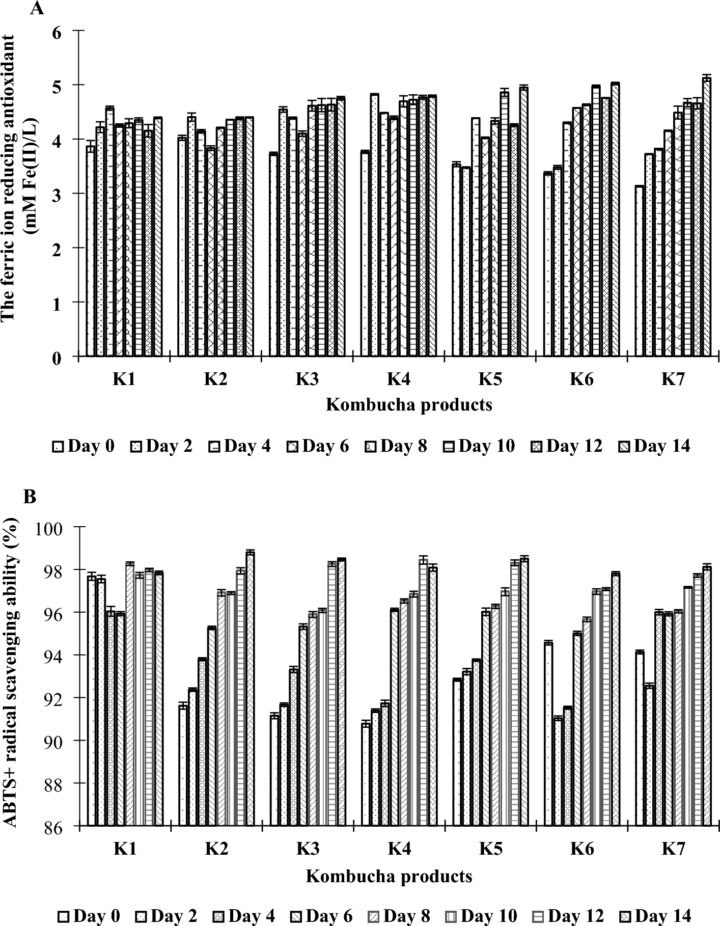
Figure 6

Antioxidant capacities of kombucha products made from black tea and fusions of black tea and PPC (as described in “Materials and Methods”) using FRAP (A) and ABTS (B) assays.

Antioxidant capacities of kombucha products made from black tea and fusions of black tea and PPC (as described in “Materials and Methods”) using FRAP (A) and ABTS (B) assays.