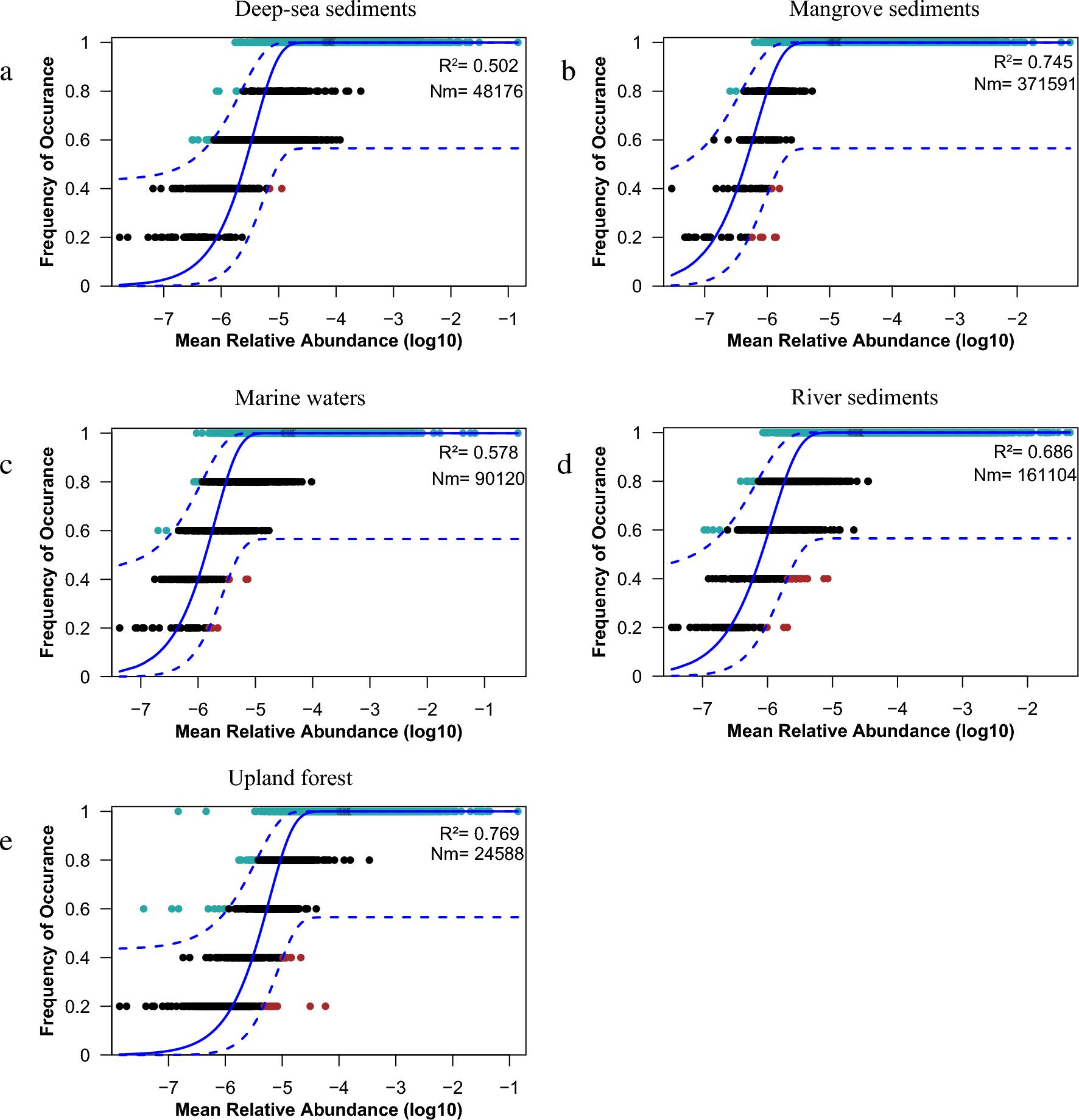
Figure 4

Neutral community model (NCM) of microbial community assembly. (a) Deep-sea sediments; (b) Mangrove sediments; (c) Marine waters; (d) River sediments; (e) Upland forest. The solid blue lines represent the best fit to the NCM as shown in Sloan et al.40, and the dashed blue lines in the figure represent the 95% confidence intervals around the model predictions. Microbial communities with frequencies higher or lower than those predicted by the NCM are shown in different colors. Nm indicates the microbial community size times immigration, and R2 represents the fit to this model.