Figure 3
From: Magneto-strain effects in 2D ferromagnetic van der Waal material CrGeTe\(_3\)

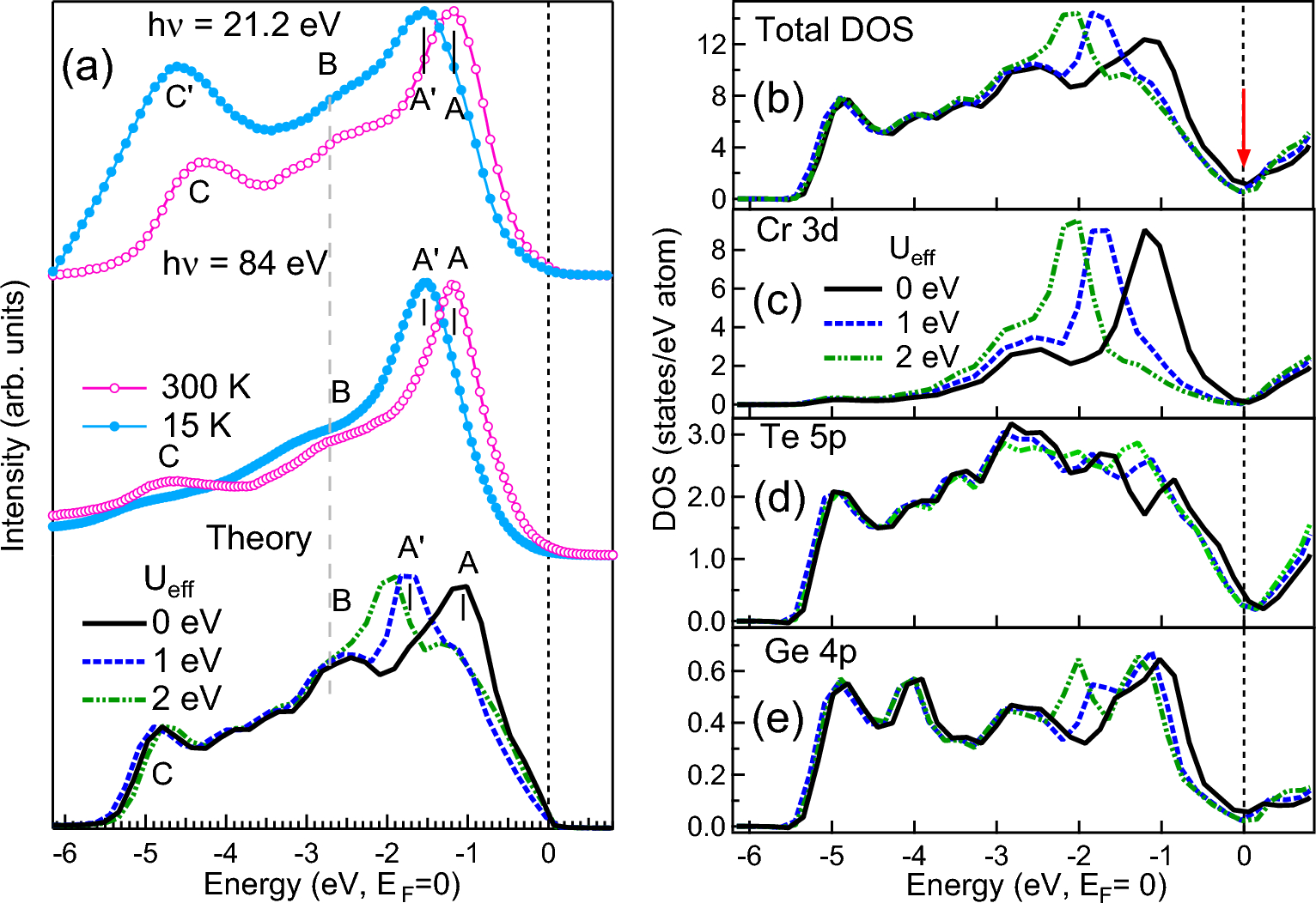
VB spectra of CrGeTe\(_3\) (a) at 300 K (RT) and 15 K (LT) recorded using 21.2 eV and 84 eV excitation energy and compared with the theoretical VB calculated using GGA + U method with \(U_{eff}=0\), 1 and 2 eV. (b–e) show the GGA + U calculation for total DOS, Cr 3d, Te 5p and Ge 4p states, respectively with \(U_{eff}=0\), 1 and 2 eV. The red arrow shows the position of the conduction band edge in total DOS.