Figure 10
From: Intelligent energy aware optimization protocol for vehicular adhoc networks

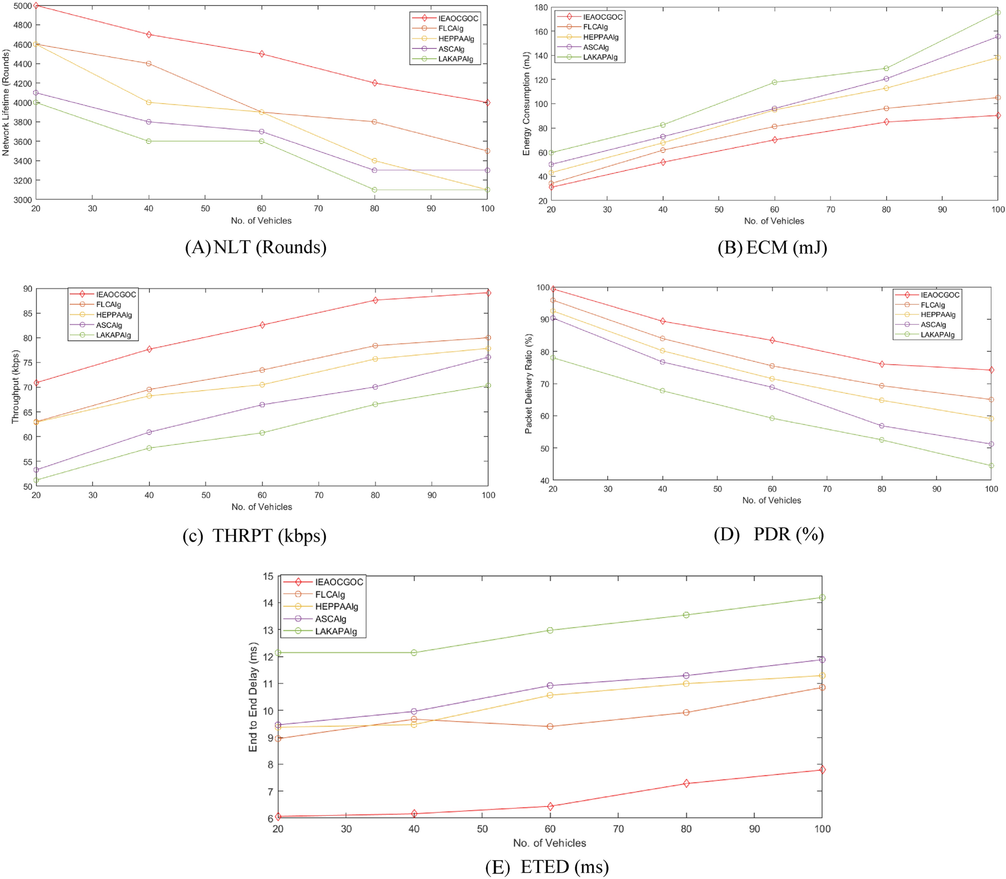
An entire view for the experimental results ((A) NLT (B) ECM (C) THRPT (D) PDR (E) ETED).
From: Intelligent energy aware optimization protocol for vehicular adhoc networks

An entire view for the experimental results ((A) NLT (B) ECM (C) THRPT (D) PDR (E) ETED).