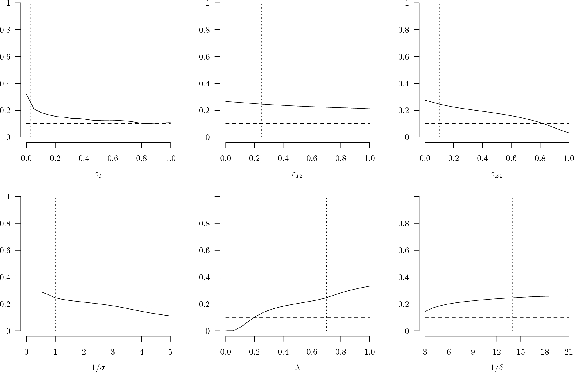
Figure 4
From: Physical distancing versus testing with self-isolation for controlling an emerging epidemic

Sensitivity of net benefits (as a fraction of GDP, y-axes) of optimal testing and self-isolation policy with respect to: \(\varepsilon _1\), \(\varepsilon _{I2}\), \(\varepsilon _{Z2}\), \(1/\sigma\), \(\lambda\), and \(1/\delta\) (x-axes). The solid lines depict the optimized net benefits of the testing policy, the vertical dotted lines correspond to our primary values for each parameter (shown in Table 2), and the horizontal dashed lines correspond to the optimized net benefits of the physical distancing policy.