Figure 4
From: Impact of elastic substrate on the dynamic heterogeneity of WC256 Walker carcinosarcoma cells

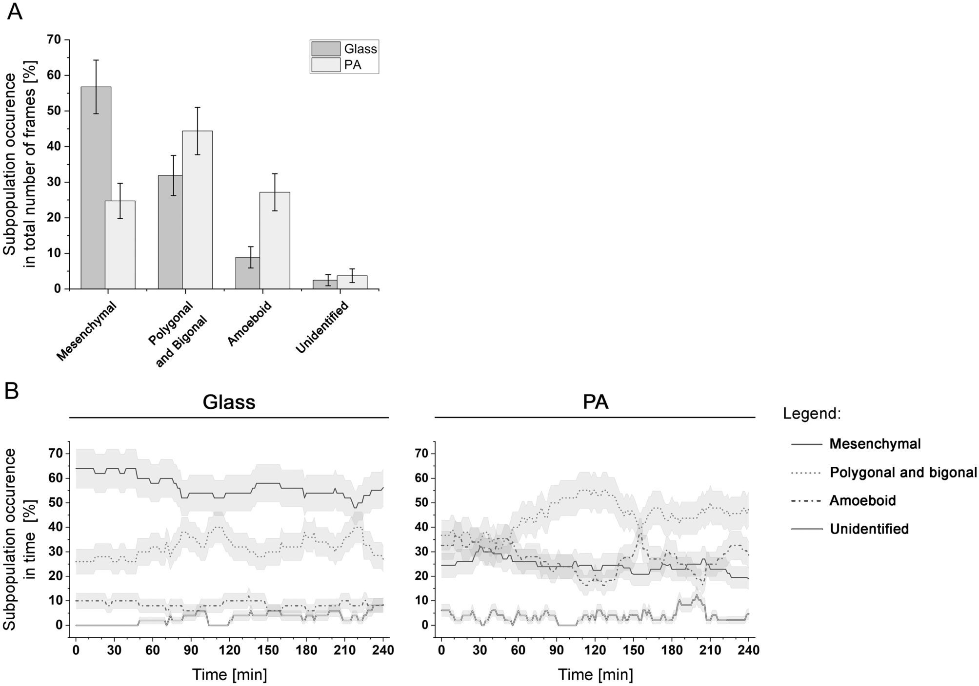
(A) The occurrence of different subpopulations in WC256 adherent subline plated on glass or elastic PA substrate. Each bar represents the share of frames of each subpopulation in the total number of registered frames; error bars represent the square root of counts. (B) Time evolution of total share of each subpopulation; error bars represent the square root of counts.