Figure 2
From: Cerium and samarium blocked antioxidant enzymes in wheat plants

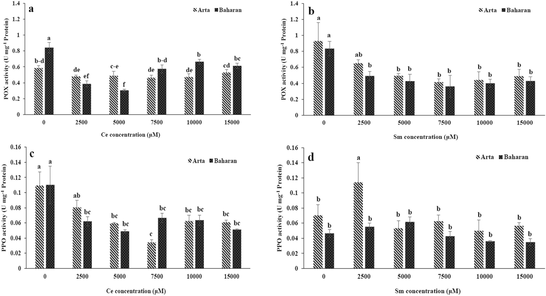
Effect of Ce and Sm on POX activity (a,b) and PPO activity (c,d) in wheat plants. Vertical bars indicate Means ± SE based on three replicates. Different letters above columns indicated significant (P < 0.05) differences.