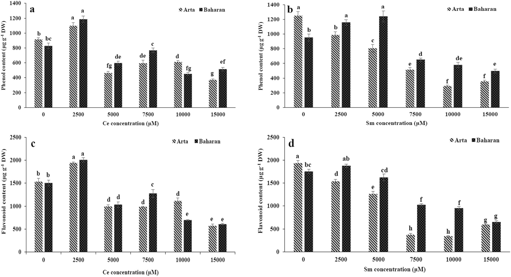
Figure 3
From: Cerium and samarium blocked antioxidant enzymes in wheat plants

Effect of Ce and Sm on total phenol (a,b) and flavonoid (c,d) of wheat plants. Vertical bars indicate Means ± SE based on three replicates. Different letters above columns indicated significant (P < 0.05) differences.