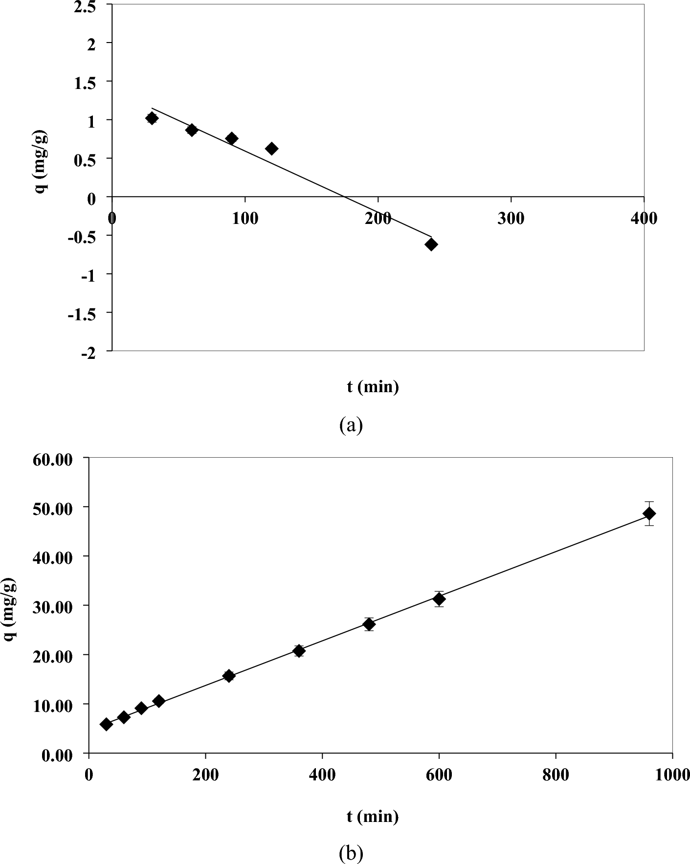
Figure 6

Linearized kinetic equations of pseudo-first order (a) and pseudo-second-order (b) adsorption of thorium ions by immobilized POP (Ci 170 mg/L, adsorbent dosage 8 g/L, T 25 °C, and pH 3.8).

Linearized kinetic equations of pseudo-first order (a) and pseudo-second-order (b) adsorption of thorium ions by immobilized POP (Ci 170 mg/L, adsorbent dosage 8 g/L, T 25 °C, and pH 3.8).