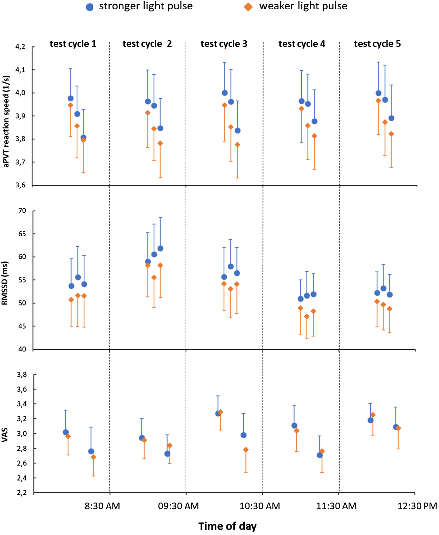
Figure 6

aPVT reaction speed, RMSSD, and pre-/post aPVT sleepiness-alertness ratings (VAS). Note: the figure shows means and 95% confidence intervals of the means.

aPVT reaction speed, RMSSD, and pre-/post aPVT sleepiness-alertness ratings (VAS). Note: the figure shows means and 95% confidence intervals of the means.