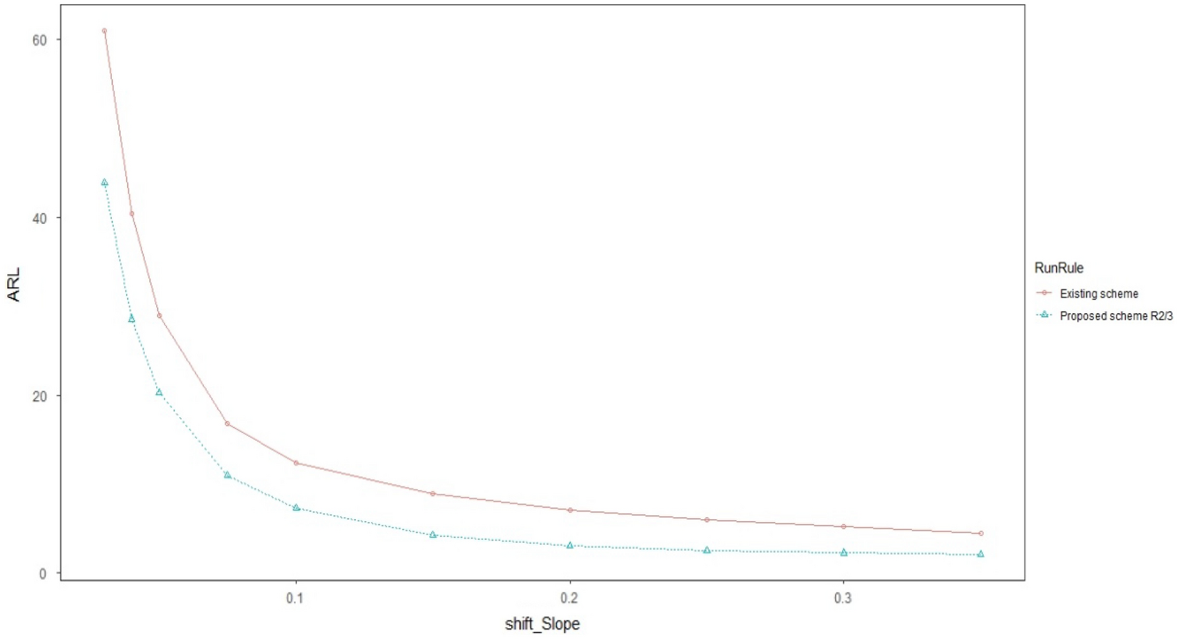
Figure 2

ARL curve under the best proposed scheme-II & the existing scheme under Ωb at ARL = 200 with \({\varvec{\lambda}}\) = 0.2.

ARL curve under the best proposed scheme-II & the existing scheme under Ωb at ARL = 200 with \({\varvec{\lambda}}\) = 0.2.